Исследование систем управлениеРефераты >> Менеджмент >> Исследование систем управление
Достоинства дивизионной структуры:
- она обеспечивает управление многопрофильными предприятиями с общей численностью сотрудников порядка сотен тысяч и территориально удаленными подразделениями;
- обеспечивает большую гибкость и более быструю реакцию на изменения в окружении предприятия по сравнению с линейной и линейно - штабной;
- при расширении границ самостоятельности отделений они становятся "центрами получения прибыли", активно работая на повышении эффективности и качества производства;
- более тесная связь производства с потребителями.
Недостатки дивизионной структуры:
- большое количество "этажей" управленческой вертикали; между рабочими и управляющим производством подразделения - 3 и более уровня управления, между рабочими и руководством компании - 5 и более;
- разобщенность штабных структур отделений от штабов компании;
- основные связи - вертикальные, поэтому остаются общие для иерархических структур недостатки - волокита, перегруженность управленцев, плохое взаимодействие при решении вопросов, смежных для подразделений и т. д. ;
- дублирование функций на разных "этажах" и как следствие - очень высокие затраты на содержание управленческой структуры
- в отделениях, как правило, сохраняется линейная или линейно - штабная структура со всеми их недостатками.
Рис. 1.5 Дивизионная структура управления
1.3. Органические типы структур управления
Органические или адаптивные структуры управления стали развиваться примерно с конца 70-х годов, когда, с одной стороны, создание международного рынка товаров и услуг резко обострило конкуренцию среди предприятий и жизнь потребовала от предприятий высокой эффективности и качества работы и быстрой реакции на изменения рынка, и с другой стороны, стала очевидной неспособность структур иерархического типа этим условиям соответствовать. Главным свойством управленческих структур органического типа является их способность изменять свою форму, приспосабливаясь к изменяющимся условиям. Разновидностями структур этого типа являются проектные, матричные (программно-целевые), бригадные формы структур. При внедрении этих структур необходимо одновременно изменять и взаимоотношения между подразделениями предприятия. Если же сохранять систему планирования, контроля, распределения ресурсов, стиль руководства, методы мотивации персонала, не поддерживать стремление работников к саморазвитию, результаты внедрения таких структур могут быть отрицательными.
Бригадная (кросс - функциональная) структура управления
Основой этой структуры управления является организация работ по рабочим группам (бригадам). Форма бригадной организации работ - достаточно древняя организационная форма, достаточно вспомнить рабочие артели, но только с 80-х годов началось ее активное применение как структуры управления организацией, во многом прямо противоположной иерархическому типу структур. Основными принципами такой организации управления являются:
- автономная работа рабочих групп (бригад);
- самостоятельное принятие решений рабочими группами и координация деятельности по горизонтали;
- замена жестких управленческих связей бюрократического типа гибкими связями;
- привлечение для разработки и решения задач сотрудников разных подразделений.
Эти принципы разрушает свойственное иерархическим структурам жесткое распределение сотрудников по производственным, инженерно-техническим, экономическим и управленческим службам, которые образуют изолированные системы со своими целевыми установками и интересами.
В организации, построенной по этим принципам, могут как сохраняться функциональные подразделения ( рис. 1.6), так отсутствовать (рис. 1.7). В первом случае работники находятся под двойным подчинением - административным (руководителю функционального подразделения, в котором они работают) и функциональным (руководителю рабочей группы или бригады, в которую они входят). Такая форма организации называется кросс-функциональной, во многом она близка к матричной. Во втором случае функциональные подразделения как таковые отсутствуют, ее мы будем назвать собственно бригадной. Такая форма достаточно широко применяется в организации управления по проектам.
Преимущества бригадной (кросс-функциональной) структуры:
- сокращение управленческого аппарата, повышение эффективности управления;
- гибкое использование кадров, их знаний и компетентности;
- работа в группах создает условия для самосовершенствования;
- возможность применения эффективных методов планирования и управления;
- сокращается потребность в специалистах широкого профиля.
Рис. 1.6 Кросс - функциональная организационная структура
Недостатки бригадной (кросс-функциональной) структуры:
- усложнение взаимодействия (в особенности для кросс-функциональной структуры);
- сложность в координации работ отдельных бригад;
- высокая квалификация и ответственность персонала;
- высокие требования к коммуникациям.
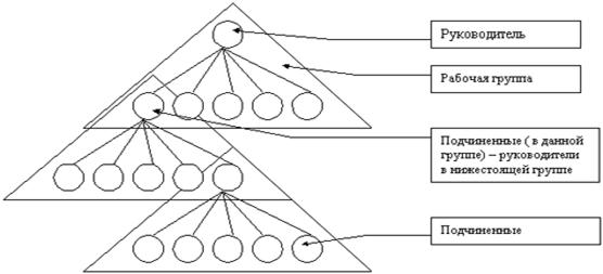
Рис. 1.7 Структура организации, состоящей из рабочих групп (бригадная)
Проектная структура управления
Основным принципом построения проектной структуры является концепция проекта, под которым понимается любое целенаправленное изменение в системе, например, освоение и производство нового изделия, внедрение новых технологий, строительство объектов и т. д. Деятельность предприятия рассматривается как совокупность выполняемых проектов, каждый из которых имеет фиксированное начало и окончание. Под каждый проект выделяются трудовые, финансовые, промышленные и т. д. ресурсы, которыми распоряжается руководитель проекта. Каждый проект имеет свою структуру, и управление проектом включает определение его целей, формирование структуры, планирование и организацию работ, координацию действий исполнителей. После выполнения проекта структура проекта распадается, ее компоненты, включая сотрудников, переходят в новый проект или увольняются (если они работали на контрактной основе). По форме структура управления по проектам может соответствовать как бригадной (кросс-функциональной) структуре, так и дивизионной структуре, в которой определенный дивизион (отделение) существует не постоянно, а на срок выполнения проекта.
Преимущества структуры управления по проектам:
- высокая гибкость;
- сокращение численности управленческого персонала по сравнению с иерархическими структурами.
Недостатки структуры управления по проектам:
- очень высокие требования квалификации, личным и деловым качествам руководителя проекта, который должен не только управлять всеми стадиями жизненного цикла проекта, но и учитывать место проекта в сети проектов компании;
- дробление ресурсов между проектами;
