Регулирование скорости асинхронного двигателяРефераты >> Естествознание >> Регулирование скорости асинхронного двигателя
и АД будет иметь уже другую механическую характеристику.
Наряду с такими АД, получившими название многообмоточных, широкое распространение получил другой тип многоскоростных АД, у которых изменение числа пар полюсов вращающегося магнитного поля достигается за счет изменения схемы соединения статорной обмотки АД. Для этого каждая фаза статора разделена на несколько одинаковых частей (чаще всего на две части) и имеет от них соответствующее число выводов.
Рассмотрим принцип получения различного числа пар полюсов при переключении частей обмотки статора на следующем упрощенном примере.
На рис. 1 показана схема одной фазы статорной обмотки, которая состоит из двух одинаковых частей 1н—1к, 2н—2к, имеющих два проводника. Если секции соединены так, как это показано на рис. 4.9, а, и к обмотке статора подведен ток I, имеющий в данный момент времени направление, показанное стрелками, то образуется магнитное
Рис. 1. Изменение числа пар полюсов обмотки статора
поле с четырьмя полюсами, т. е. p = 2 (направление магнитных силовых линий определяем с помощью правила буравчика). Оставив направление тока тем же, изменим несколько схему соединения обмотки, подключив конец первой секции 1к к концу второй 2к (рис. 1б). Из рис. 1б следует, что в этом случае статорная обмотка образует магнитное поле с числом пар полюсов, вдвое меньшим по сравнению с полем рис. 1а. Уменьшение вдвое числа пар полюсов достигается и в схеме рис. 1в, где секции соединены параллельно (1н с 2к, 1к с 2н). В том и другом случае (рис. 1 б и в) уменьшение числа пар полюсов, и следовательно, увеличение скорости АД, достигается изменением направления тока на противоположное в одной из секций (в данном случае во второй). При этом диапазон изменения угловой скорости магнитного поля равен двум.
Наиболее часто на практике встречаются две схемы переключения статорной обмотки многоскоростных АД: 1) с треугольника (Д) на двойную звезду (УУ); 2) со звезды (У) на двойную звезду (УУ)
Рассмотрим схемы соединения статора 'и механические характеристики АД для этих случаев.
Треугольник — двойная звезда. Для получения большего числа пар полюсов р^ секции каждой фазы статора включены в треугольник согласно, т. е. так, как это показано на рис. 2а, где А1н и A2н — начала соответственно первой и второй секций фазы A; А1к и A2к — их концы. Обозначения для выводов секций фаз В и С, схемы включения которых аналогичны схемам фазы A, опущены. Соединение секций по схеме рис.2 б, как отмечалось выше, вызовет уменьшение в 2 раза числа пар полюсов АД. Схема рис. 2б, получила название двойной звезды.
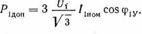
Для получения общего вида механических характеристик определим допустимую мощность АД при включении его статора по схемам рис. 2, а и б. Учитывая, что допустимый ток в секции обмотки статора I1доп = I1ном остается неизменным при переключении числа пар полюсов, допустимую первичную мощность определим:
для схемы треугольник (рис. 2, а)
(1)
для схемы двойная звезда (рис. 2, б)
(2)
Рис. 2.
Соединение обмоток статора в треугольник (а), двойную звезду (б) и механические характеристики при схемах треугольник — двойная звезда (Д—УУ) (в)
Из полученных выражений следует, что при cos φ1д ≈ cos φ1уу допустимая мощность АД остается практически неизменной. Поэтому при увеличении вдвое числа пар полюсов АД и уменьшении тем самым вдвое синхронной скорости допустимый момент на валу АД увеличивается примерно в 2 раза. Механические характеристики АД для данного способа переключения обмоток показаны на рис. 2в. Они соответствуют регулированию скорости при постоянной мощности.
Звезда — двойная звезда. В этой схеме меньшей угловой скорости АД соответствует соединение обмоток статора, показанное на рис. 3а. Секции фаз статора
Рис. 3.
Соединение обмоток статора в звезду (а) и механические характеристики двигателя при схемах звезда — двойная звезда (б) соединены в этой схеме также последовательно и согласно и образуют при подключении АД к сети систему р1. пар полюсов вращающегося магнитного поля, которой соответствует синхронная скорость ω01. Переключение на двойную звезду осуществляется по схеме на рис. 2б, при этом число пар полюсов станет p2 = p1/2. Получаемые механические характеристики такого двухскоростного АД изображены на рис. 3б,. В отличие от рассмотренной выше схемы переключения треугольник — двойная звезда, в которой регулирование скорости АД осуществляется при постоянной мощности нагрузки на его валу, в этой схеме изменение скорости может осуществляться при постоянном моменте нагрузки Мс. Это следует из рассмотрения выражений допустимой мощности АД, которая для схемы двойная звезда (рис. 4.10, б) определяется формулой (2), а для схемы звезда согласно рис. 3а — формулой
(3)
Из (2) и (3) видно, что допустимая мощность при переключении статорной обмотки на меньшее число пар полюсов (когда скорость АД увеличивается в 2 раза) возрастает также в 2 раза. Тем самым допустимые моменты при работе АД в обеих схемах включения примерно одинаковы и характеристики имеют показанный на рис. 3б вид.
Помимо рассмотренных двухскоростных АД применяются также трех- и четырехскоростные АД. Первые из них помимо переключаемой обмотки статора, выполняемой аналогично рассмотренной выше, имеют также и одну непереключаемую обмотку. Четырехскоростные АД с различным числом пар полюсов р1, р2, p3, p4 позволяют получить четыре различные механические характеристики.
Рассматриваемый способ регулирования скорости характеризуется рядом положительных показателей, что определяет широкое его применение в регулируемом электроприводе переменного тока. К ним в первую очередь следует отнести экономичность регулирования, так как регулирование скорости изменением числа пар полюсов не сопровождается выделением в роторной цепи больших потерь энергии скольжения, вызывающих излишний нагрев АД и ухудшающих его КПД.
Из рис. 2в и 3б видно, что механические характеристики многоскоростных асинхронных электродвигателей отличаются хорошей жесткостью и достаточной перегрузочной способностью.
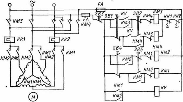
Рис. 4. Схема управления двухскоростным АД
Недостатком этого способа является ступенчатость изменения скорости двигателя и относительно небольшой диапазон ее регулирования, не превышающий обычно 6—8.
