Типы организационных структур управления предприятиемРефераты >> Менеджмент >> Типы организационных структур управления предприятием
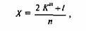
С сарказмом писал о такой бюрократии известный английский ученый в области управления Сирил Н. Паркинсон — автор знаменитых «законов Паркинсона». «Поскольку всякая работа, и в особенности бумажная, - отмечал он, - растяжима во времени, становится очевидно, что от ее объема никак (или почти никак) не зависит количество людей, привлекаемых к ее выполнению». Или такой постулат о двух основных силах бюрократии: 1) чиновник заинтересован в умножении подчиненных, но не соперников; 2) чиновники обеспечивают работой друг друга. А вот рекомендуемая формула для определения штатов любого административного учреждения:
где X— число новых сотрудников, набираемых каждый год;
К— число чиновников, которые ради повышения по службе набирают себе подчиненных;
l— интервал между поступлением на службу и уходом на пенсию;
m— количество человеко-часов, потраченных на улаживание дел в учреждении;
n— количество дееспособных подразделений.
Среди ученых существует согласие по поводу шести характеристик бюрократии, описанных первоначально Вебером: 1) иерархическая командная цепочка; 2) специализация должностных обязанностей; 3) единая политика в области прав и обязанностей; 4) стандартизированные операции на каждом участке работы; 5) карьера, основанная на профессиональной компетенции; 6) безличностные взаимоотношения. К данным характеристикам можно добавить то, что координация деятельности осуществляется на высших уровнях организации. Рассмотрим подробнее каждую из указанных характеристик.
Иерархическая командная цепочка. Бюрократическая организация имеет структуру пирамиды с высшим руководителем в верхней точке, который распределяет весь объем работы организации и делегирует ответственность за каждую часть общей задачи своим заместителям. Последние, в свою очередь, делегируют ответственность на более низкие уровни управления по цепочке команд, которая доходит до каждого работника. В ряде крупных компаний в прошлом насчитывалось десять и более уровней управления между управляющим высшего ранга и рабочим.
Внедрение цепочки команд явилось мощным фактором наведения порядка в больших подразделениях на предприятиях. Цепочка команд разрешала потенциальные конфликты, четко распределяя обязанности, полномочия и ответственность за возможное решение. Каждому руководителю и его заместителям в цепочке команд были предоставлены все полномочия для решения задач или осуществления отдельной функции, а также ответственность за ее исполнение. Это значительно упрощало задачу руководителя и давало уверенность в выполнении команды.
Специализация должностных обязанностей. Бюрократия стала эффективной благодаря специализации труда. На самом деле организационная структура бюрократии создана на основе деления всех задач на серии четко определенных должностных обязанности или функций. Каждой функции придается ответственность за выполнение определенной задачи и предоставляется необходимый инструментарий управления. Руководитель издает и распределяет задания таким образом, что все их составляющие являются частями общей задачи организации: специализированный инженерный персонал изучает причины падения эффективности на всех этапах производственного процесса, конструирует оборудование и моделирует процессы, которые обеспечивали бы рост производительности труда; определяются обязанности тех, кто занят реализацией продукции, финалистов, специалистов по труду и др. Специализация ведет к более эффективным путям выполнения каждой части общей задачи организации.
До внедрения специализации в бюрократические организации каждый ремесленник учился всему, что касалось его деятельности, и выполнял весь объем работы от начала до конца. Ремесленное производство часто может быть плодотворным и иметь художественные достоинства, но в период промышленной революции оно стало тормозом механизации и развития масштабной экономики. По мере того как организации переходили от ремесленничества к разделению труда, жесткая иерархия бюрократии предусматривала все необходимое для преодоления ремесленных традиций, каждое новшество становилось частью действующих нормативов и процессов организации.
Единые нормы и правила. Бюрократия управляется с помощью единых фиксированных норм и правил, которые устанавливаются руководством организации независимо от того, является ли она коммерческой или некоммерческой. Эти нормы предусматривают права и обязанности работников и руководителей. Самые основные нормативы относятся к вопросу об определении прав, полномочий и ответственности. В бюрократической организации руководитель отвечает за деятельность всех подчиненных и имеет право отдавать им распоряжения, которым они должны беспрекословно подчиняться. Основная обязанность работника заключается не в том, чтобы делать то, что правильно или необходимо, а в том, чтобы точно следовать указаниям непосредственного руководителя. Установленные нормативы бюрократии гарантируют оплату труда работников до тех пор, пока они заняты на работе, а нередко и получение пенсии за выслугу лет. Фиксированные права и обязанности устанавливают определенные рамки процессов управления и в известной мере ограничивают возможное своеволие руководителя.
Стандартизированность процедур, определяющих каждый вид работы. Единые нормы и процессы являются основой стандартизации действий, их последовательности и этапов. Они предварительно изучаются исполнителями, являются обязательными и предопределяют строгий порядок и подотчетность в организации.
Профессиональная карьера. Бюрократическая организация создает условия для профессионального роста работников, продвижения их на бол ее высокие уровни командной цепочки. Повышение в должности дает одновременно и власть, и полномочия, и более высокий статус в организации. Повышение достигается путем совершенствования навыков в какой-то области деятельности и способности выполнять предусмотренный объем работ. Профессиональная карьера основывается на своеобразном контракте между работником и организацией; работник посвящает свою деятельность организации в обмен на гарантированную работу, нередко пожизненную, стабильную
или повышенную оплату труда, пенсию и возможность повышения по служебной лестнице.
До бюрократии фаворитизм и семейственность разрушали эффективность организации. Бюрократия придерживается политики повышения сотрудников по службе на основе их квалификационного роста. Это позволяет организации нанимать, обучать и удерживать на работе высококвалифицированных специалистов. Стремление работника к повышению в должности и гарантированность профессиональной карьеры были важным элементом успеха бюрократической системы при условии сильной мотивации к долгосрочной лояльности организации. Однако возможности большей части работников не могут быть реализованы в бюрократической системе, поскольку основной показатель успеха - это продвижение по иерархической лестнице; по мере движения вверх пирамида власти сужается, и только некоторые сотрудники могут занять вышестоящие должности.
