Методы решения уравнений в странах древнего мираРефераты >> Математика >> Методы решения уравнений в странах древнего мира
История алгебры уходит своими корнями в древние времена. Задачи, связанные с уравнениями, решались ещё в Древнем Египте и Вавилоне. Теория уравнений интересовала и интересует математиков всех времён и народов.
В Древнем Египте и Вавилоне использовался метод ложного положения («фальфивое правило»)
Уравнение первой степени с одним неизвестным можно привести всегда к виду ах + Ь == с, в котором а, Ь, с — целые числа. По правилам арифметических действий ах = с — b,
Если Ь > с, то с — b число отрицательное. Отрицательные числа были египтянам и многим другим более поздним народам неизвестны (равноправно с положительными числами их стали употреблять в математике только в семнадцатом веке).
Для решения задач, которые мы теперь решаем уравнениями первой степени, был изобретен метод ложного положения.
В папирусе Ахмеса 15 задач решается этим методом. Решение первой из них позволяет понять, как рассуждал автор.
Египтяне имели особый знак для обозначения неизвестного числа, который до недавнего прошлого читали «хау» и переводили словом «куча» («куча» или «неизвестное количество» единиц). Теперь читают немного менее неточно: «ага».
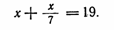
bqt задача № 24 сборника Ахмеса:
«Куча. Ее седьмая часть ('подразумевается: «дают в сумме») 19. Найти кучу».
Запись задачи нашими знаками:
Решение Ахмеса может быть представлено в наших символах в следующих четырех столбцах:
Во многих задачах в начале или в конце встречаются слова: «Делай как делается», другими словами: «Делай, как люди делают».
Смысл решения Ахмеса легко понять.
Делается предположение, что. куча есть 7; тогда
ее часть есть 1. Это записано в первом столбце.
Во втором столбце записано, что при предположении х=7 куча и ее
часть дали бы 8 вместо 19. Удвоение предположения дает 16. Автор, в уме очевидно, прикидывает, что дальше удваивать предположение нельзя, так как тогда получится больше 19. Он записывает 16, ставит перед числом две точки для обозначения удвоения первоначального предположения и отмечает значком (у нас — звездочкой) результат; для получения в сумме 19 первоначальное предположение надо умножить -на 2 с некоторым добавлением, так как для получения точного результата, 19, не хватает еще 19—16=3. Ахмес находит
от 8, получает 4. Так как это больше нехватки 3, то на
предположение умножить нельзя. Но
от 8 есть 2,
от восьми 1. Ахмес видит, что
и
первоначального результата дают точно те 3 единицы, которых не хватало. Отметив
и
значками, Ахмес убедился, что первоначальное предположение для кучи (7) надо помножить на
Умножение числа 7 на смешанное число
Ахмес заменяет умножением смешанного числа
на 7. В третьем столбце выписаны:
часть искомой кучи есть
, удвоенное это число:
и учетверенное:
. Сумма этих трех чисел, равная числу
, есть произведение первоначального предположения 7 на
.
Итак, куча равна
.
В последнем столбце Ахмес делает проверку, складывая полученное значение для кучи
и его
части
. В сумме получается 19, и решение заканчивается обычным для автора заключением: «Будет хорошо».
Способ решения, примененный Ахмесом, называется методом одного ложного положения. При помощи этого метода решаются уравнения вида ах == b. Его применяли как египтяне, так и вавилоняне.
У разных народов применялся метод двух ложных положений. Арабами этот метод был механизирован и получил ту форму, в которой он перешел в учебники европейских народов, в том числе в «Арифметику» Магницкого. Магницкий называет способ решения «фальшивым правилом» и пишет о части своей книги, излагающей этот метод:
Зело бо хитра есть сия часть,
Яко можеши ею все класть (вычислить. — И. Д.)
Не токмо что есть во гражданстве,
Но и высших наук в пространстве,
Яже числятся в сфере неба,
Якоже мудрым есть потреба.
Содержание стихов Магницкого можно вкратце передать так: эта часть арифметики весьма хитрая. При помощи ее можно вычислить не только то, что понадобится в житейской практике, но она решает и вопросы «высшие», которые встают перед «мудрыми».
Магницкий пользуется «фальшивым правилом» в форме, какую ему придали арабы, называя его «арифметикой двух ошибок» или «методой весов».
Квадратные уравнения в Древнем Вавилоне
Необходимость решать уравнения не только первой, но и второй степени еще в древности была вызвана потребностью решать задачи, связанные с нахождением площадей земельных участков и с земляными работами военного характера, а также с развитием астрономии и самой математики. Квадратные уравнения умели решать около 2000 лет до н. э. вавилоняне. Применяя современную алгебраическую запись, можно сказать, что в их клинописных текстах встречаются, кроме неполных, и такие, например, полные квадратные уравнения:
Правило решения этих уравнений, изложенное в вавилонских текстах, совпадает по существу с современным, однако неизвестно, каким образом дошли вавилоняне до этого правила. Почти все найденные до сих пор клинописные тексты приводят только задачи с решениями, изложенными в виде рецептов, без указаний относительно того, каким образом они были найдены.
Несмотря на высокий уровень развития алгебры в Вавилоне, • в клинописных текстах отсутствуют понятие отрицательного числа и общие методы решения квадратных уравнений.
