Трансактный анализРефераты >> Психология >> Трансактный анализ
Оглавление
1 Введение
2 Основная часть
1) Развитие в человеке способности к общению
2) Трансакционный анализ
3) Сценарии
4) Другие части сценарного аппарата
-предписания
- разрешения
- времяпрепровождение
- ритуалы
- расколдовыватель
- родительское программирование
5) Игры
6) Близость
3 Заключение
4 Оглавление
5 Список литературы
Введение
Главная цель этой книги – научить человека анализировать характер своего общения, научить использовать свои слова, мысли, интонации, выражения применительно к целям коммуникации, помочь человеку в его умении анализировать свои слова и поступки, постоянно осмысливая их истинную суть и их восприятие собеседником. Автор помогает находить скрытый смысл межличностных взаимодействий, распознавать мотивы собственных действий, поступков своих близких и других окружающих людей. Здесь можно найти много полезных советов, которые помогают понять природу человеческого общения. Книга будет полезна психиатрам, психотерапевтам, педагогам и врачам, брачным консультантам, всем, кто занимается коррекцией человеческого общения, помогает людям адекватно общаться, пытается вместе с ними выяснить причины возникающих у них проблем в понимании других людей и истоки производственных и семейных конфликтов.
Мир не просто меняется, он меняется принципиально. Мы начинаем жить во ВРЕМЯ КОММУНИКАЦИЙ. Основный источником благ более не является земля или капитал, на смену им приходит информация, человека кормят уже не руки, а голова. Дефицит профессиональных коммуникаторов в политике, бизнесе, социальной сфере, образовании, просто в бытовой жизни ощущается все сильнее. Уже недостаточно быть просто обаятельным человеком, чтобы добиться необходимого результата, нужно уметь находить общий язык с собеседником, т.е. человеком коммуницирующим. Еще недавно таких специалистов в стране не было. «Не хочешь – заставим», - вот и вся роскошь общения. За рубежом КОММУНИКАТОР – одна из самых престижных профессий , а у нас это слово только начинают писать по-русски.
Э.Берн полагал, что каждый человек имеет свой жизненный сценарий, модель которого намечается в ранние детские годы. В соответствии со своим жизненным сценарием люди играют в различные игры, которыми заполнена в основном вся человеческая жизнь
Развитие в человеке способности к общению.
Практика показывает, что человеку для полноценной и активной жизни необходимо общаться с другими людьми. Сенсорное голодание, или сенсорная депривация, могут привести даже к психическим нарушениям. У такого сенсорного голода очень много общего с пищевым голодом.
Эту схожесть можно рассматривать не столько с точки зрения биологической, сколько с психологической. Например, слова "голод", "переедание" можно рассматривать не только как термины, связанные с едой, но и как недостаточную и чрезмерную стимуляции.
Впервые сенсорный голод настойчиво дает о себе знать, когда в процессе нормального роста ребенок постепенно отдаляется от матери. Отныне ребенок сам должен "утолять" сенсорный голод. И этот человек теперь будет стремиться к близости того типа, которую он испытывал, будучи младенцем.
Чаще всего человеку приходится идти на компромисс. Он учится довольствоваться едва уловимыми, иногда только символическими формами физической близости. Результатом является частичное преобразование младенческого сенсорного голода в нечто, что можно назвать потребностью в признании. По мере того как усложняется путь к достижению этого компромисса, люди все больше отличаются друг от друга в своем стремлении получить признание. Итак, стремясь утолить "голод", то есть стремясь к признанию люди общаются, доставляя таким образом друг другу удовольствие, как бы "поглаживая" друг друга.
"Поглаживание" - это лишь наиболее общий термин, который используется для обозначения интимного физического контакта. Расширив значение этого термина, мы будем называть "поглаживанием" любой акт, предполагающий признание присутствия другого человека.
Таким образом "поглаживание" - это одна из основных единиц социального действия. Признавая присутствие друг друга, люди вынуждены общаться, и между ними происходит ряд трансакций. Из этого можно заключить, что обмен "поглаживаниями" составляет трансакцию, которую в свою очередь Э.Берн определяет как единицу общения. Умение дать достаточное количество “поглаживаний” позволяет расположить к себе собеседника и открыть дорогу продолжению общения.
Трансакционный анализ
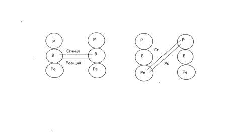
В каждом человеке самым сложным образом переплетены три состояния Я: «Взрослого», «Родителя», «Ребенка». «Ребенок» (Ре) - прекрасное состояние эмоциональности, веселья и раскованности, источник интуиции, творчества, спонтанных, архаичных, неконтролируемых импульсов. Ребенок руководствуется словом «хочу». «Родитель» (Р) – совокупность устоявшихся стереотипов, педант, знающий, как себя надо вести, склонный к поучениям, состояния Я, сходные с образами родителей. Девиз родителя – «полагается». Благодаря Р многие наши реакции стали автоматическими, что помогает сберечь массу времени и энергии. Это освобождает взрослого от необходимости принимать множество тривиальных решений. «Взрослый» (В) – состояния Я, автономно направленные на объективную оценку реальности, способность к самостоятельному и непредвзятому принятию решений. Лозунг - «разумно». Взрослый контролирует действия Р и Ре, является посредником между ними.
Единица общения – трансакция. Попытка вступления в контакт – трансакционный стимул. Ответом на этот стимул является трансакционная реакция.
Общение будет эффективным в том случае, если оно ведется на одном уровне (т. е. Ре с Ре, В со В, Р с Р)
Трансакции могут быть дополнительными, пересекающимися и скрытыми. При нормальных человеческих отношениях стимул влечет за собой уместную, ожидаемую и естественную реакцию. Это дополнительная трансакция первого типа (рис. 1а) или второго (рис. 2а)
Рис. 1 Дополнительные трансакции
а) – Давай разберемся, почему ты не подготовился
- Честно говоря, просто поленился
б) –У меня нога болела, и я не мог выучить.
- Никакого телевизора сегодня, оболтус.
Процесс коммуникации быстро прерывается, если трансакции пересекающиеся.
Примером к этой схеме может быть диалог:
-Давай разберемся, почему у тебя снизилась успеваемость.(обращение взрослого к взрослому).
![]() |
Рис. 2 Пересекающиеся трансакции
В том случае, если стимул содержит скрытый мотив, трансакции выглядят сложнее. Именно скрытые трансакции показывают механизм манипулирования человеком. Скрытые трансакции требуют одновременного участия более, чем двух состояний Я. Они происходят на двух уровнях: высшем – уровне текста и низшем – уровне подтекста, который передается в основном при помощи средств
![]() |


