Обращение векселя в РФ
Нормальный процесс вексельного обращения завершается оплатой векселя в срок и, оплачивая вексель, плательщик освобождает себя от вексельного обязательства.
В условиях взаимной ответственности по вексельному платежу можно быть уверенным, что именно вексель – то, что нужно предприятиям для обеспечения непрерывного процесса производства и оплаты за поставленные товары и оказанные услуги.
Инкассирование векселей.
Банки часто выполняют поручения векселедержателей по получению платежей по векселям в срок. Банки берут на себя ответственность по предъявлению векселей в срок плательщику и получению причитающихся по ним платежей. Если платеж поступит, вексель возвратиться должнику. Если нет, вексель возвращается кредитору, но с протестом в неплатеже. Следовательно, банк отвечает за последствия, возникшие вследствие упущения протеста.
Путем этих операций банки могут сосредоточить на своих счетах значительные средства и получают их в бесплатное пользование. Вместе с тем, они довольно прибыльны, т.к. за инкассо взимается определенная плата.
Они выгодны и для клиента, поскольку банки благодаря тесным взаимоотношениям между собой могут исполнять поручения клиента быстрее и дешевле, клиент так же освобождается от необходимости следить за сроками предъявления векселей к платежу, что требовало затрат значительно больших, чем комиссионные банка.
Домициляция векселей.
Банки могут по поручению клиента производить платежи по векселям в установленный срок. Эта операция противоположна инкассированию.
Домицилируя вексель, банк не несет никакой ответственности, т.к. клиент вносит сумму платежа заранее. В противном случае банк отказывает в платеже, и вексель протестуется обычным порядком против векселедателя.
Глава II
Российская практика применения векселя и вексельного кредита.
Из (5) и (6) следует, что если обязательства размещено по номиналу и держится до срока погашения его доходность будет равна указанной в контракте ставки процента (т.е. Y=r).
![]() |
где t2 - число дней от момента покупки до погашения векселя.
Соответственно, продавец получит величину:
Sпрод = S – Sпок (8)
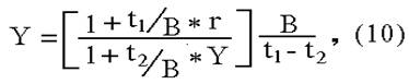
Соотношение (7) и (8) отражают ситуацию равновесия на рынке (т.е. "справедливое" распределение доходов в соответствии с рыночной ставкой Y и пропорционально сроку хранения бумаги каждой из сторон). Любое отклонение в ту или иную сторону повлечет за собой перераспределение дохода в пользу одного из участников сделки.
![]() |
где r - ставка по векселю;
Y - рыночная ставка;
t1 - число дней до погашения в момент покупки;
t2 - число дней до погашения в момент перепродажи;
![]() |
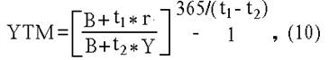
При этом доходность операции будет равна:
![]() |
где YTM - эффективная доходность
4.2. Оценка стоимости финансовых векселей.
Процесс оценки стоимости векселя, выпущенного с дисконтом, заключается в определении современной величины элементарного потока платежей по формуле простых процентов исходя из требуемой нормы доходности Y.
![]() |
![]() |
![]() |
где – t число дней до погашения.
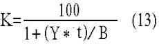
При Y=r рыночная стоимость обязательства на момент выпуска будет равна номиналу (т.е. Р=N). Соответственно, при Y>r будет Р<N и вексель размещается с дисконтом, а в случае Y<r с премией (т.е. Р>N).
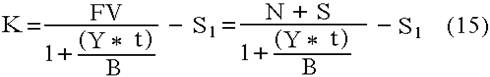
Таким образом, рыночная стоимость векселя с учетом накопленного дохода, определяемая из (14), может отклоняться от номинала. Однако в биржевой практике принято котировать в процентах к номиналу, т.е. за 100 единиц на дату сделки. При этом ставка дохода по обязательствам r показывается отдельно.
![]() |
где t - число дней до погашения;
S1 – абсолютная величина дохода, накопленная к дате совершения сделки.
![]() |
где t1 - число дней от момента выпуска до даты сделки.
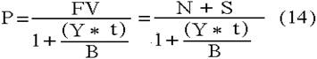
Таким образом, полная рыночная стоимость векселя Р может быть так же определена
как:
P = K + S1
4.3. Анализ учета векселей.
При учете вексель выполняет две функции: коммерческого кредита и средства платежа.
![]() |










