Экономика предприятия радиоэлектронной промышленности. Шпора
В рыночной практике хозяйствования встречаются самые различные формы проявления экономической эффективности. Различают локальную и частную экономическую эффективность. Локальная эффективность определяется в разрезе отдельных звеньев народного хозяйства (предприятие, промышленный комплекс, отрасль). Частная эффективность отражает результативность использования в процессе производства отдельных видов затрат и ресурсов. Также различают абсолютную (общую) и сравнительную эффективность.
Абсолютная эффективность — исчисляется за определенный период времени в целом по народному хозяйству, отрасли, предприятию. Она характеризует общую величину экономического эффекта при сопоставлении результата с величиной отдельных видов затрат и ресурсов. Сравнительная эффективность — рассчитывается путем сопоставления технико-экономических показателей по двум и более вариантам решения какой-либо производственной задачи и служит для выбора оптимального, наиболее экономичного варианта, определения его технико-экономических преимуществ по сравнению с другими возможными вариантами
56.Показатели экономической эффективности
Экономический эффект — это абсолютный показатель, характеризующий рациональной использование некой совокупности экономических ресурсов,
их суммарную экономию.
Экономическая эффективность характеризует результативность производственно-хозяйственно деятельности предприятия, которая определяется путем сопоставления полученных результатов и затрат, расходованных на достижение этих результатов. Под результатами в экономике понимается итог использования или применения ресурсов. Результаты проявляются в различных формах: создание конкурентоспособного образца продукции, выручка от увеличивающего объема производства, количество новых изделий.
В процессе производственно-хозяйственной деятельности предприятия используются различные ресурсы (затраты). Потребленная часть ресурсов принимает форму затрат. Затраты — это стоимость ресурсов, потребленных в процессе производственно-хозяйственной деятельности.
По экономической природе различают текущие и единовременные затраты. Текущие затраты связаны с производством и реализацией продукции. Интегратором текущих затрат на производство является показатель себестоимость продукции. Единовременные (капитальные) затраты — это затраты хозяйствующего субъекта на создание основных фондов. Единовременные затраты производятся до начало процесса производства, единожды.
В рыночной практике хозяйствования встречаются самые различные формы проявления экономической эффективности. Различают локальную и частную экономическую эффективность. Локальная эффективность определяется в разрезе отдельных звеньев народного хозяйства (предприятие, промышленный комплекс, отрасль). Частная эффективность отражает результативность использования в процессе производства отдельных видов затрат и ресурсов.
В рыночной практике хозяйствования встречаются самые различные формы проявления экономической эффективности. Различают локальную и частную экономическую эффективность. Локальная эффективность определяется в разрезе отдельных звеньев народного хозяйства (предприятие, промышленный комплекс, отрасль). Частная эффективность отражает результативность использования в процессе производства отдельных видов затрат и ресурсов. Также различают абсолютную (общую) и сравнительную эффективность.
Абсолютная эффективность — исчисляется за определенный период времени в целом по народному хозяйству, отрасли, предприятию. Она характеризует общую величину экономического эффекта при сопоставлении результата с величиной отдельных видов затрат и ресурсов. Сравнительная эффективность — рассчитывается путем сопоставления технико-экономических показателей по двум и более вариантам решения какой-либо производственной задачи и служит для выбора оптимального, наиболее экономичного варианта, определения его технико-экономических преимуществ по сравнению с другими возможными вариантами
Повышение экономической эффективности заключается в увеличении полезных ресурсов на единицу затраченных ресурсов.
Повысить экономическую эффективность означает: 1) получить больший результат при одинаковых затратах ресурсов; 2) получить одинаковый результат при меньших затратах ресурсов; 3) достичь большего результата с меньшими затратами ресурсов. Экономическая эффективность определяется по использованию отдельных видов ресурсов, поэтому применяется система локальных показателей. Для выяснения эффективности использования основных средств применяется фондоотдача, фондоемкость, фондовооруженность. Фондоотдача определяется как отношение объема продукции (V) в денежном измерении к среднегодовой стоимости основных средств (Сег), т.е. определяет выпуск продукции на 1 р. основных средств.
На практика при планировании потребности в основных средствах используется показатель фондоемкости продукции (ФЕ), который рассчитывается по формуле:
Этот показатель характеризует необходимую сумму основных средств для получения продукции на 1 р
Уровень обеспеченности работников основными средствами определяется показателем фондовооруженности (ФВ). Он показывает, какая стоимость основных средств приходится на каждого работающего, и рассчитывается по формуле:
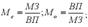
где ФВ — фондовооруженость труда, р/Iчел.; Сег — среднегодовая стоимость основных фондов. руб.;N — среднегодовая численность ППП. чел. Наиболее распространенными показателями использования всех материальных ресурсов на предприятии, являются материалоемкость продукции и обратный ему показатель — материалоотдача. Материалоемкость (Ме) и материалоотдача продукции (Мо) определяются по формулам
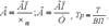
где МЗ — количество израсходованных материальных ресурсов на предприятии; ВП — объем выпущенной продукции. Для машиностроительных предприятий не менее важное значение имеет показатель коэффициент использования металла:
где
— чистый вес детали (изделия);
— черновой вес детали либо норма расхода материалов на одно изделие. Для измерения производительности труда, эффективности использования трудовых ресурсов в промышленности используются два основных показателя: выработка и трудоемкость.
где ВП — объем продукции или выполненной работы в натуральных либо условно-натуральных единицах; Чсп, — среднесписочная численность работающих, чел.; Т — время, затраченное на производство всей продукции, нормо-часы.
Выработка измеряется количеством продукции, произведенной в единицу времени или приходящейся на одного среднесписочного работника в год (квартал, месяц). Рост выработки свидетельствует о повышении производительности труда. Трудоемкость — это затраты рабочего времени на производство единицы продукции. Ростом трудоемкости свидетельствует о снижении производительности труда. По абсолютной величине прибыли не всегда можно судить об уровне доходности предприятия, так как на ее размер влияет не только качество работы, но и масштабы деятельности. Например, два предприятия получают одинаковую прибыль, но имеют различную стоимость производственных фондов, т. е. основных производственных фондов и оборотных средств. Более эффективно работает то предприятие, у которого стоимость производственных фондов меньше. Поэтому для характеристики эффективности работы предприятия наряду с абсолютной суммой прибыли используют показатель рентабельность. Рентабельность - это доходность, прибыльность, показатель экономической эффективности деятельности промышленного предприятия, отражающий конечные результаты хозяйственной деятельности. Рентабельность представляет собой отношение прибыли к производственным фондам или к себестоимости продукции. Показатель рентабельности оценивает эффективность производства путем соизмерения доходов от производства и расходов на него.
