Сетевые картыРефераты >> Программирование и компьютеры >> Сетевые карты
Утраченные программы настройки можно попытаться найти в интернете (на сайтах архивов).
Конфигурирование (настройка) сетевой карты при помощи перемычек
|
На плате сетевой карты располагаются штырьки контактов и перемычки, переставляя которые и производится настройка сетевой платы на нужный адрес и прерывание. Описание правильного положения перемычек должно быть в прилагаемой инструкции или нанесено на плату. Надо отметить, что бывают случаи несовпадения прилагаемой инструкции и рисунка на плате, в этом случае надо пользоваться описанием, приведенным на плате. Переставлять перемычки удобнее всего пинцетом на вынутой из компьютера плате. |
|
В описаниях на перемычки возможны следующие обозначения: JP1 - группа контактов (штырьков) номер один (разъем номер один), штырьков в разъеме может быть два или больше (три, четыре и тд.).
|
ON или EN или Enable, что обозначает замкнуть. Вам необходимо одеть перемычку на штырьки соответствующего разъема. |
|
|
OFF или DIS или Disable - разомкнуть. Надо снять премычку или убедиться, контакты не замкнуты. |
|
|
1-2 что обозначает: замкнуть штырьки 1 и 2, могут быть и другие номера, соответственно. На схеме должен быть указан первый контакт, от которого ведется отсчет. |
|
|
Например "2-3". Обычно контакты распологаются в один ряд, но изредка бывает, что в несколько рядов. |
|
Вам необходимо выставить нужное прерывание и нужный адрес.
|
Если необходимо оставить разъем в разомкнутом состоянии, не выбрасывайте перемычку, но оставьте ее одетой на какой-либо один контакт, вдруг она вам еще понадобится. |
|
5. Драйверы для сетевых карт
|
Company |
URL |
|
Compex |
http://www.compex.com.sg/ |
|
D-link |
ftp://ftp.dlink.com/adapters |
|
Intel |
ftp://ftp.intel.com/pub/support/enduser_reseller/etherexpress_lan_adapters/ |
|
SMC |
ftp://ftp.smc.com/pub/nics/ |
|
3COM |
ftp://ftp.3com.com/pub/nic |
|
Realtek |
ftp://ftp.realtek.com.tw/LANCARD/drivers/ |
|
Winbond |
http://www.winbond.com.tw/custo/cscs1c.html#lan |
|
некоторые сетевые карты NE2000 Compatible |
drivers/ne2000.html |
|
Н |
емного теории
1. Общая шина
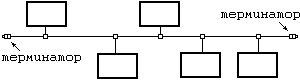
Все компьютеры подключаются к одному кабелю. На его концах должны быть расположены терминаторы. По такой топологии строятся 10 Мегабитные сети 10Base-2 и 10Base-5. В качестве кабеля используется коаксиальный кабель. Нарушение общего кабеля или любого из двух терминаторов приводит к выходу из строя участка сети между этими терминаторами (сегмент сети). Отключение любого из подключенных устройств на работу сети никакого влияния не оказывает.
Для сети 10Base-2 это будет выглядеть
или так
что абсолютно одинаково, с точки зрения топологии, но может оказаться удобнее при прокладке. В 100Мбитных сетях такая топология не применяется, а используется "Звезда".
2. Сетевая топология "звезда"
Каждый компьютер (и т.п.) подключен отдельным проводом к отдельному порту устройства, называемого концентратором или повторителем (репитер), или хабом (Hub) .
Концентраторы могут быть как активные, так и пассивные. Если между устройством и концентратором происходит разрыв соединения, то вся остальная сеть продолжает работать. Правда, если этим устройством был единственный сервер, то работа будет несколько затруднена. При выходе из строя концентратора сеть перестанет работать. Данная сетевая топология наиболее удобна при поиске повреждений сетевых элементов: кабеля, сетевыех адаптеров или разъемов. При добавлении новых устройств "звезда" также удобней по сравнению с топологией общая шина . Также можно принять во внимание, что 100 и 1000 Мбитные сети строятся по топологии "Звезда".
3. Hub (хаб) Hub или концентратор - это многопортовый репитер. Наиболее распространенное применение - сети на основе витой пары 10Base-T или 100Base-TX/T4. Но бывают также хабы для сетей 10Base-2 на основе коаксиального кабеля и для сетей 10Base-F на основе волоконной-оптики. Многие 10Mbit хабы имеют разъемы как под витую пару, обычно называемый (RJ-45), так и под коаксиальный кабель (BNC) или AUI. Что позволяет использовать сегменты коаксиального или оптического кабеля в качестве главной магистрали (Backbone) между хабами.




