Программно-методический комплекс для обучения процессу создания компиляторовРефераты >> Программирование и компьютеры >> Программно-методический комплекс для обучения процессу создания компиляторов
Содержание
Введение
1 Анализ предметной области
1.1 Компиляторы
1.2 Логическая структура компилятора
1.3 Лексический анализ. Сканер
1.4 Синтаксический и семантический анализ
1.5 Грамматики
1.6 Формирование промежуточного кода
Метод четверок
1.7 Обоснование создания учебного комплекса
1.8 Обзор существующих разработок
1.9 Обоснование разработки
2 Создание учебной разработки
2.1 Краткое описание учебного компилятора
2.2 Описание учебного языка
2.3 Лексический анализатор LEXAN
2.3.1 Таблица терминальных символов
2.3.2 Таблица символических имен
2.3.3 Таблица литералов
2.3.4 Работа сканера
2.3.5 Структура листинга
2.3.6 Структура выходного файла
2.3.7 Примерное задание для студента
2.3.8 Описание работы лексического анализатора
2.4 Синтаксический анализатор SinAn
2.4.1 Таблица переходов
2.4.2 Правила работы с таблицей переходов
2.4.3 Правила таблицы переходов для написания программы
2.4.4 Формируемая таблица переходов. Правила заполнения
2.4.5 Правила заполнения формируемой таблицы переходов
2.4.6 Построение деревьев
2.4.7 Семантический анализ
2.5 Формирование промежуточного кода
Циклы
3 Определение трудоемкости по стадиям разработки
3.1 Методика расчета
3.2 Определение затрат на выполнение проекта по стадиям разработки
3.3 Расчет затрат на выполнение проекта по этапам
4 Рекомендации по охране труда при работе с учебным комплексом
Заключение
Список использованных источников
Приложения
Введение
Каждый преподаватель вправе преподносить материал и обучать студентов по любой из дисциплин так, как он считает нужным.
Преподаватель желает, чтобы знания по преподаваемым наукам лучше усваивались студентами. Часто материал не усваивается из-за того, что нет его наглядного представления, нет материалов, будь то программных или выполненных в виде плакатов, стендов, способствующих более глубокому пониманию.
Для того чтобы создать демонстрационный вспомогательный материал следует наработать необходимую базу. Что занимает много времени и требует определенных усилий и больших временных затрат. В результате могут быть получены плакаты, методические пособия, программные средства (тестовые, обучающие) и др. Некоторые из них можно применять и в отсутствии преподавателя для самообучения, для контроля знаний и т. п.
Для проверки знаний часто используют тестовые системы, в которых проверка знаний происходит в интерактивном режиме. Некоторые из них лишь выдают какой-то общий результат, другие определяют, где и на каком этапе возникла ошибка, и сообщают об этом пользователям (используется в компиляторах).
1 Анализ предметной области
1.1 Компиляторы
Транслятор - это программа, которая переводит исходную программу в эквивалентную ей объектную программу. Если объектный язык представляет собой автокод или некоторый машинный язык, то транслятор называется компилятором.
Автокод очень близок к машинному языку; большинство команд автокода - точное символическое представление команд машины.
Ассемблер - это программа, которая переводит исходную программу, написанную на автокоде или на языке ассемблера (что, суть, одно и то же), в объектный (исполняемый) код.
Компиляторы пишутся как на автокоде, так и на языках высокого уровня. Кроме того, существуют и специальные языки конструирования компиляторов - компиляторы компиляторов.
Компилятор компиляторов (КК) – система, позволяющая генерировать компиляторы; на входе системы - множество грамматик, а на выходе, в идеальном случае, - программа. Иногда под КК понимают язык программирования, в котором исходная программа - это описание компилятора некоторого языка, а объектная программа - сам компилятор для этого языка. Исходная программа КК - это просто формализм, служащий для описания компиляторов, содержащий, явно или неявно, описание лексического и синтаксического анализаторов, генератора кодов и других частей создаваемого компилятора. Обычно в КК используется реализация схемы т.н. синтаксически управляемого перевода. Кроме того, некоторые из них представляют собой специальные языки высокого уровня, на которых удобно описывать алгоритмы, используемые при создании компиляторов.
1.2 Логическая структура компилятора
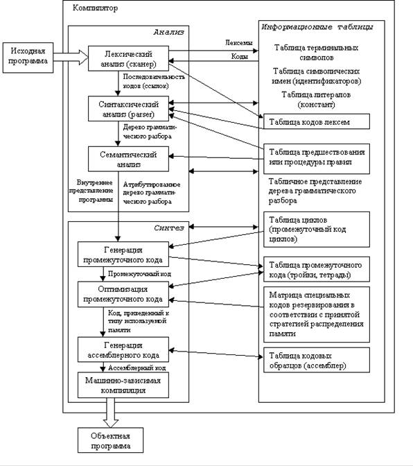
На рисунке 1 представлена структурная схема компилятора.
![]() |
Рисунок 1 – Схема компилятора
Исходная программа – текст программы на языке высокого уровня (например Паскаль), который должен быть переведен в машинный код.
Информационные таблицы - самостоятельные структуры, заранее заполненные (таблица терминальных символов), а также заполняющиеся в ходе лексического анализа и дополняющиеся во время работы.
Лексический анализатор выполняет распознавание лексем языка и замену их соответствующими кодами. Под лексемами понимаются элементарные единицы, входящие в структуру предложения языка, такие как ключевые слова, константы, имена и т.п. Правильность задания структуры предложения языка на фазе лексического анализа не выполняется. Результатом является поток лексем (кодов – ссылок на таблицы), эквивалентный исходному тексту.
Синтаксический анализатор необходим для того, чтобы выяснить, удовлетворяют ли предложения, из которых состоит исходная программа, правилам грамматики этого языка.
Семантический анализ. На этом этапе осуществляется контроль типа и вида всех идентификаторов и других операндов.
Генерация промежуточного кода. Происходит преобразование исходной программы в промежуточную (например, польскую) форму записи.
Оптимизация промежуточного кода – выделение общих подвыражений и вычисление константных подвыражений.
Фаза оптимизации предназначена для уменьшения избыточности программы по затратам времени и памяти. В зависимости от критериев проектирования транслятора данная фаза обработки программы может исключаться из цикла обработки программы.
Распределение памяти. На этом этапе выделяются конкретные адреса пользователя под переменные, которые генерируются компилятором.
Генератор объектного (ассемблерного) кода – выполняет подстановку кодовых образцов на выходном языке, соответствующих промежуточным кодам программы. Генератору кода могут не требоваться шаблоны, он весь может быть реализован в процедурном виде.
Машинно-зависимая компиляция. Зависит от того, какие используются регистры. Работа этой процедуры зависит от соглашений, принятых для исполняемой части программы. Например, выделяется базовый регистр для текущей активной записи в стеке.
На всех этих этапах происходит работа с различного рода таблицами. В частности, для каждого блока (если таковые существуют в языке) идентификаторы, описанные внутри, запоминаются вместе со своими атрибутами. Условно все эти этапы можно изобразить следующим образом:
![]() |


