Операционные системы, разновидности ОС, краткие характеристикиРефераты >> Программирование и компьютеры >> Операционные системы, разновидности ОС, краткие характеристики
|
|
|
A/M3+P3*a2i if M3 ≠ 0
Xi=
∑ij=1 aj+P3*i2 if M3=0
Задача №6. Вар.№7. Если max элемент исходного массива не > заданного числа , то найти значение ф-ии для каждого из элементов последней строки матрицы , в противном случае вывести на экран " Условие не выполнено ".
F(x)=(3x)2/3!+(4x)2/4!+ (5x)2/5!+…+(-1)k-1*(kx)2/k!
![]()
![]()
![]()
![]()
|
![]() | |||||||
![]() | |||||||
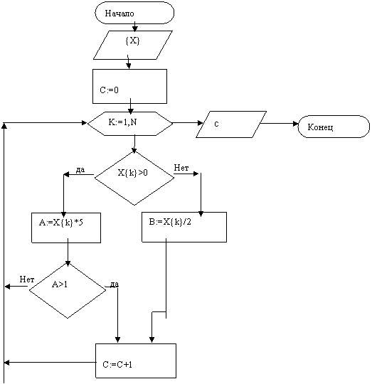
Задача №3. Вариант №11
В заданном массиве Х1,Х2…Хn изменить значение всех положительных элементов, умножив их значение на 5, а отрицательные элементы уменьшить вдвое, при этом подсчитать количество элементов, абсолютная величина которых не превышает 1.
![]() |



