Издержки производства и пути их сниженияРефераты >> Экономическая теория >> Издержки производства и пути их снижения
Анализ представленной структуры издержек предприятий А и Б позволяет сделать вывод о том, что предприятие А имеет меньший уровень механизации и автоматизации производства и обладает большей потребностью в использовании малопроизводительного ручного труда. Вследствие этого постоянные издержки фирмы А на амортизацию и выплату процентов на капитал, использованный на приобретение машинного парка, будут относительно невелики. Переменные издержки на оплату труда работников предприятия А будут относительно высокими. На предприятии Б картина обратная: относительно высокие постоянные издержки на амортизацию и выплату процентов на капитал и соответственно низкие переменные издержки на оплату ручного труда, обусловленные высоким уровнем механизации и автоматизации производства.
На предприятиях и фирмах зарубежных стран осуществляется также сравнительный анализ издержек производства конкурентов. Такой анализ позволяет сопоставить структуру издержек собственного производства со структурой издержек конкурентов, выявить их преимущества, а также излишние издержки у конкурентов и на основе этого анализа принять необходимые меры, направленные на улучшение структуры издержек производства, снижение этих издержек.
Подводя вывод, хочется ещё раз выделить основные виды издержек. Итак, принято подразделение издержек производства предприятия на постоянные, переменные, валовые и предельные. Постоянные и переменные издержки вместе составляют валовые издержку производства.
Так же, следует отметить, что на предприятиях под структурой издержек нередко понимают соотношение между постоянными и переменными издержками, что позволяет анализировать структуру и делать выводы о качестве производства.
2. Влияние издержек на прибыль и пути их снижения
2.1 Анализ соотношения затрат и прибыли
Предпринимателю в процессе деятельности постоянно приходится принимать решения о цене, по которой продукция будет реализована, о переменных и постоянных издержках, о приобретении и использовании ресурсов. Для этого необходимо точно и достоверно организовать уровни затрат и прибыли.
Все предпринимаемые в условиях рынка управленческие модели основаны на изучении взаимосвязи затрат, объема производства и прибыли. Специальный анализ помогает понять взаимоотношения между ценой изделия, объемом производства, переменными и постоянными затратами. Он позволяет сравнить различные варианты цен на продукцию и получение прибыли, а также отыскать наиболее выгодное соотношение между переменными, постоянными затратами, ценой и объемом производства продукции. Достичь этого можно разными способами: снизить цену продаж и соответственно увеличить объем реализации; увеличить постоянные затраты и увеличить объем;
пропорционально изменять переменные, постоянные затраты и объем выпуска продукции. Иногда анализ соотношения затрат, объема производства и прибыли (CVP-анализ, Cost-Volume-Profit) трактуют более узко, как анализ критической точки.
Под критической понимается та точка объема производства, в которой затраты равны выручке от реализации всей продукции, т.е. где нет ни прибыли, ни убытков. Эту точку называют также «мертвой», или точкой безубыточности.
Для ее вычисления можно использовать три метода: уравнения, маржинальной прибыли и графического изображения.
Метод уравнения
В качестве исходного уравнения для анализа принимают следующее соотношение выручки, издержек и прибыли:
Выручка — переменные затраты — постоянные затраты = прибыль.
Если выручку представить как произведение цены продажи единицы изделия и количества проданных единиц, а затраты пересчитать на единицу изделия, то в точке критического объема производства будем иметь:
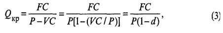
Исходя из этого определяем количество единиц продукции, которое необходимо продать, чтобы достигнуть критической точки:
где Qкр — объем производства продукции в критической точке (количество единиц);
Р — цена единицы продукции;
VС — удельные переменные затраты на единицу продукции;
FС — постоянные расходы.
Рассмотрим этот метод на условном примере. Предприятие планирует продать свою продукцию по цене 500 ден. ед., постоянные расходы составляют 70 000 ден. ед., удельные переменные расходы на единицу продукции — 300 ден. ед. В точке безубыточности прибыль равна 0, тогда
500 • Х - 300 • Х - 70 000 = О
200 • Х = 70 000
Х = 350
Таким образом, при продаже 350 ед. изделий предприятие достигнет точки, в которой прибыль и убытки равны.
Критическую точку можно рассчитать и в стоимостном выражении, если умножить полученный объем на цену единицы продукции:
350-500= 175 000 ден. ед.
CVP-анализ может быть использован для определения объема реализации, необходимого для получения желаемой величины прибыли. Предположим в нашем условном примере, что предприятие хочет достигнуть прибыли в размере 40 000 ден. ед. Каким должен быть объем производства и продаж? Эту задачу можно решить методом уравнений.
В точке безубыточности, как известно, выручка равна сумме постоянных и переменных затрат. Поэтому, чтобы рассчитать заданную величину прибыли, необходимо прибавить ее к сумме затрат:
Выручка = переменные затраты + постоянные затраты + прибыль.
500 • Х = 300 • Х + 70 000 + 40 000
200-Х= 110000
X = 550
Таким образом, заданная величина прибыли может быть получена при объеме продаж, равном 550 ед., что составляет в денежном
выражении
550 • 500 = 275 000 ден. ед.
Метод маржинальной прибыли представляет собой модификацию
метода уравнений.
Маржинальная прибыль — это разность между выручкой от реализации продукции и переменными затратами, т.е. это определенная сумма средств, необходимая, в первую очередь, для покрытия постоянных затрат и получения прибыли предприятия. Маржинальную прибыль на единицу изделия можно также представить как разность между ценой реализации единицы товара и удельными переменными расходами. Маржинальная прибыль, приходящаяся на единицу продукции, представляет вклад каждой проданной единицы в покрытие постоянных затрат.
Преобразование формулы (2) раскрывает связь объема продукции
и относительного маржинального дохода:
где d— относительный уровень удельных переменных расходов в цене продукта (d = VC/Р);
(1 - d) — относительная маржинальная прибыль на единицу объема реализации.
В нашем примере маржинальная прибыль на единицу составляет
500 - 300 = 200 ден. ед., а точка безубыточности равна 70 000 / 200 =350ед.
Графический метод дает наглядное представление о СVР-анализе и сводится к построению комплексного графика «затраты — объем
производства — прибыль».
В прямоугольной системе координат строится график зависимости затрат и дохода от количества единиц произведенной продукции (см. рис.).
