Предпринимательство- сущность, виды, субъектыРефераты >> Предпринимательство >> Предпринимательство- сущность, виды, субъекты
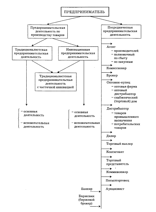
Рисунок 7 Типология предпринимательской деятельности
Глава II Развитие малого бизнеса в Российской Федерации.
В реформировании российской экономики еще со времен перестройки малые предприятия (МП) взяли на себя роль создателя почвы для новой системы хозяйствования. Доминирующий сегодня частный сектор зарождался именно в сфере малого бизнеса. И вполне закономерно, что к настоящему времени, по официальным данным, на долю частных субъектов малого предпринимательства в общем количестве частных, государственных и муниципальных, общественных МП приходится 84%. Малые предприятия, располагая 3,4°о стоимости основных средств экономики России и 14°о числа занятых, производят 12% ВВП и дают всей прибыли по народному хозяйству. Это говорит о широких, но еще далеко не полностью раскрытых внутренних возможностях развития малого предпринимательства.
В 90-е годы стабильно росла доля МП в общем объеме ВВП. Это - весомый факт, особенно на фоне продолжающегося спада практически во всех сферах российской экономики. По официальным статистическим данным Госкомстата РФ, на 1.01.1996 г. в России насчитывалось 877 тыс. малых предприятий, на которых было занято 8,9 млн. человек (по среднесписочному составу), а с учетом вторичной занятости - 13,8 млн. человек. В отраслевой структуре доминирует торгово-посредническая деятельность, а в региональной структуре -Центральный экономический район с ядром в Москве (табл. 1, 2).
В развитии малого предпринимательства за последние 1-2 года наметились кардинально новые тенденции, выразившиеся в первую очередь в существенном замедлении темпов роста числа малых предприятий. Если в начале 90-х годов для динамики развития МП был характерен устойчивый рост как их числа, так и количества занятых при среднегодовых значениях приростов на уровне около 80%, то в 1994 г. прирост числа МП составил лишь 4%, а в 1995 г. произошло уже снижение их числа на 2,2°о.
Для углубленного понимания нынешней ситуации с развитием российских МП необходимо критически рассмотреть некоторые страницы "новейшей истории".
Российское малое предпринимательство в своем становлении за последние десять лет уже прошло два этапа и находится накануне вхождения в новый, четвертый, этап. Первый и наиболее яркий из них наблюдался еще в условиях бывшего СССР в конце 80-х годов. Огромные льготы всех видов, в том числе за счет средств госбюджета, в целом более благоприятное положение дел в экономике обусловили отношение ветеранов к данному периоду как к "золотому веку" малого предпринимательства. Действительно, происходило очень быстрое и легкое накопление капиталов, развивались производство дефицитных товаров широкого потребления и сфера всевозможных и столь же дефицитных тогда бытовых услуг, розничной торговли, общественного питания и пр.
Изнанкой "золотого века" было, однако, то, что малые предприятия выполняли роль канала перекачки ресурсов командно управляемых госпредприятий в теневую экономику, в пользу полукриминального и просто криминального псевдорыночного предпринимательства. Самое печальное последствие такой перекачки заключалось и заключается в том, что средства, накапливаемые в мартом предпринимательстве методом "доразграбления" госсектора, за небольшим исключением практически навсегда уходили из сферы накопления и не использовались для развития национального производства и его инфраструктуры.
|
Таблица 1 | |||
|
Отраслевая структура малого предпринимательства (в %) | |||
|
- |
Отраслевая структура числа МП |
Отраслевая структура полной численности занятых на МП |
Структура производства продукции (работ, услуг) по основным отраслям МП |
|
Промышленность |
14,6 |
24,0 |
20,0 |
|
Сельское хозяйство |
1,1 |
0,8 |
0,3 |
|
Лесное хозяйство |
0,05 |
0,05 | |
|
Транспорт и связь |
2,3 |
2,2 | |
|
Строительство |
16,6 |
29,9 |
16,3 |
|
Торговля и общественное | |||
|
питание |
42,7 |
24,6 |
50,5 |
|
Материально-техническое | |||
|
снабжение и сбыт |
1,8 |
1,3 |
6,0 |
|
Информационное обслужи- | |||
|
вание |
0,8 |
0,5 |
0,2 |
|
Общая коммерческая | |||
|
деятельность |
4,8 |
3,9 |
2,5 |
|
Прочая деятельность в ма- | |||
|
териальном производстве |
1.5 |
1,4 |
0,7 |
|
Бытовые услуги, жилищ- | |||
|
ное хозяйство |
1,8 |
1,1 |
3,3 |
|
Здравоохранение, спорт, | |||
|
социальное обеспечение |
1,9 |
1,3 |
0,1 |
|
Народное образование |
0,9 |
1,0 |
0,04 |
|
Культура и искусство |
0,9 |
0,7 |
0,06 |
|
Наука и научное обслужи- | |||
|
вание |
5,6 |
5,3 | |
|
Финансы, пенсионное | |||
|
обеспечение |
1,3 |
0,9 | |
|
Прочие |
1,05 |
3,15 | |
