Изучение электромагнитного излучения, создаваемого персональным компьютером
Заметим, что в уравнении (14)
-p /2J+p/2cos jdj = 2 (15)
Учитывая (15), получим
В== m 0 I/2 p R (16)
Таким образом, магнитная индукция поля прямого тока определяется формулой ( 16), и она может быть 'также использована для расчета поля проводника с током конечной длины при условии, что расстояние R мало по сравнению с длиной проводника.
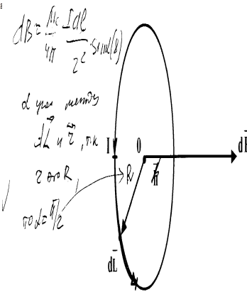
Магнитное поле контура с током.
С помощью закона Био-Савара-Лапласа определим магнитное поле в центре кругового витка с током, радиус которого R (рис. 2). Каждый элемент тока создает в центре витка магнитную индукцию, которая направлена вдольнормали плоскости витка, и поэтому векторное сложение полей dB создаваемых элементами с током, можно свести к сложению их модулей. Элементарная составляющая dB, согласно (8) , равна:
dB = m 0 IdL/4 p R2
Рис. 2
Поскольку в данном случае a = p /2, а расстояние r от каждого элемента тока до рассматриваемой точки поля одинаково и равно R, то интегрируя выражение (17) по всей длине L=2 pR контура с током, получим:
В= m 0 I/2R (18)
Рассчитаем магнитное поле на оси кругового витка с током в точке А, которая отстоит от плоскости витка на расстоянии а (рис. 3)
Рис. 3.
Пусть плоскость витка с током перпендикулярна плоскости чертежа, в которой лежит ось витка, а направление тока указано на чертеже. Величина
модуля элементарной составляющейd В в точке А равна
dB= m 0 ldL/4 pR (19)
(угол междуdL и dr равен p/2)
Векторы dB по правилу векторного умножения вектора на вектор перпендикулярны к плоскости, проходящей через соответствующий элемент
тока dL и точку А, а следовательно, они образуют симметричный конический веер. Геометрическая сумма всех векторов dB числено равна алгебраической сумме проекций всех векторов на ось X. Проекция вектора d В х на ось Х равна
dBx = dBsin j = m 0 IdLsinj / 4 pr2 (20)
Учитывая, что sin j = R/r получим
dBx = m 0 IRdL/ 4 pr3 (21)
Величина результирующей магнитной индукции определяется интегрированием, по всей длине L=2 pR витка. Учитывая, что г2=R2+d2, окончательно получим
В = m 0 IR2 / 2(R2 + d2) 3/2 (22)
С помощью формулы (22) можно рассчитать магнитное поле кругового тока в любой точке оси X.
Вопросы для самопроверки.
1. Общие гигиенические требования к ВДТ и ПЭВМ по вопросам электромагнитного излучения, шумы и вибрации, а также режима труда и отдыха.
2. Основная характеристика электромагнитного поля - магнрггная индукция и напряженность, единицы их измерения.
3. Основные характеристики электромагнитного поля - напряженность, потенциал единицы и измерения, связь между ними. Закон Био-Савара-Лапласа для электромагнитного поля.
4. Расчет напряженности магнитного поля, создаваемого электромагнитным током, (магнитное поле бесконечно длинного проводника с током, магнитное поле контура с током, магнитное поле на оси кругового тока).
5. Теория ошибок: нормальный закон распределения. Определение дисперсии по опытным данным. Метод наименьших квадратов.
Литература
1. А.А. Детлаф, Б.М. Яворский. Курс физики. М. «Высшая школа», 1989г.
2. И.В.Савельев. Курс общей физики.,т. 1,2, 3, М. «Наука» (любой год издания).
