Анализ финансовой устойчивости предприятияРефераты >> Бухгалтерский учет и аудит >> Анализ финансовой устойчивости предприятия
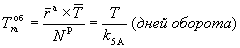
Время обращения оборотных средств определяется выражением:
(дней оборота),
- где
— средняя за период величина оборотных средств; - Т — число дней в рассматриваемом периоде;
- NР — товарооборот за рассматриваемый период.
Показатель времени обращения отражает число дней, в течение которых оборотные средства совершают полный кругооборот, т. е. измеряется в днях.
Коэффициент оборачиваемости материальных оборотных средств
k3A = NР/
.
Он отражает число оборотов запасов предприятия за анализируемый период. Снижение коэффициента свидетельствует об относительном увеличении производственных
запасов и незавершенного производства или о снижении спроса на товар (в случае уменьшения k4A).
Оборачиваемость товарных запасов также рассчитывается по двум показателям, и характеризует этот параметр коэффициент оборачиваемости товарных запасов (в промышленности готовой продукции):
,
- где

– средняя за период величина товарных запасов (готовой продукции).
Коэффициент k4A показывает скорость оборота товарных запасов (готовой продукции). Его рост означает увеличение спроса на товар предприятия, снижение — затоваривание или снижение спроса.
Время обращения товарных запасов
(дней оборота).
Увеличение времени обращения товаров приводит к иммобилизации (омертвлению) средств в товарах на период, равный числу дней замедления оборачиваемости. Сокращение времени высвобождает средства из оборота раньше на число дней ускорения.
Оборачиваемость средств в расчетах характеризует оборачиваемость дебиторской задолженности. Коэффициент оборачиваемости дебиторской задолженности:
- где

– средняя за период дебиторская задолженность.
Этот коэффициент показывает расширение или снижение коммерческого кредита, предоставляемого предприятием.
Время обращения дебиторской задолженности:
.
Снижение данного коэффициента свидетельствует об уменьшении срока погашения дебиторской задолженности и оценивается положительно, увеличение — наоборот.
Продолжительность операционного цикла
является обобщенной характеристикой продолжительности омертвления финансовых ресурсов в текущих активах. Он показывает, сколько дней в среднем проходит с момента вложения денежных средств в текущую торговую деятельность до момента их возврата в виде выручки на расчетный счет. Его снижение является одной из основных задач предприятия.
Вычисленные в отчетном периоде показатели оборачиваемости следует сравнивать в динамике для выявления ускорения (замедления) оборачиваемости.
Затем определяется сумма средств, дополнительно вовлеченных в оборот (отвлеченных из оборота) в результате изменения оборачиваемости оборотных средств, товарных запасов, дебиторской задолженности соответственно:
;
;
,
где нижние индексы (1) и (0) указывают на использование показателей отчетного и базисного (предшествующего) периодов соответственно.
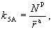
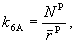
Коэффициент оборачиваемости кредиторской задолженности
- где

— средняя за период кредиторская задолженность.
Коэффициент k6А аналогично коэффициенту k5A отражает изменение коммерческого кредита, но предоставляемого предприятию. Его рост означает увеличение скорости оплаты задолженности предприятия, снижение роста покупок, осуществляемых за счет коммерческого кредита.
Средний срок оборота кредиторской задолженности
Tобrр = T / k6A.
Он отражает средний срок возврата долгов предприятия, кроме задолженности перед банками и по прочим займам.
Отношение выручки от продаж к средней за период стоимости основного капитала называют фондоотдачей основного капитала:
k7A = NР/
,
- где

— средняя за период величина основного капитала по балансу.
Данный коэффициент характеризует эффективность использования основного капитала. Он измеряется величиной продаж, приходящихся на единицу стоимости основного капитала.
В отличие от оборотных средств выбытие основного капитала характеризуется суммой начисленной амортизации. Поэтому Оборачиваемость (длительность оборота) основного капитала рассчитывается по отношению к сумме начисленной за анализируемый период амортизации основного капитала:
LF = (
´ T) / A,
- где
— средняя стоимость основного капитала; - Т — число дней периода;
- A — амортизационные отчисления основного капитала.
Данные об амортизации за отчетный период отражены в разделе 6 Приложения к бухгалтерскому балансу (форма № 5). Длительность оборота основного капитала измеряется в днях оборота и характеризует процесс обновления основного капитала. Чем больше сумма амортизации за период, тем меньше длительность оборота и тем быстрее выбывают средства из эксплуатации. В данном случае ускорение их оборачиваемости увеличивает сумму затрат за рассматриваемый период. Но с другой стороны, как показатель сокращения времени оборота и обновления объектов, ускорение оборачиваемости может свидетельствовать о совершенствовании технического оснащения предприятия. Поэтому, если сокращение времени обращения основного капитала сопровождается ростом их фондоотдачи, можно говорить об эффективном вовлечении, использовании и обновлении объектов основного капитала.
Ускорение оборачиваемости при снижении фондоотдачи объектов свидетельствует о том, что их обновление нерационально, средства используются неэффективно либо о том, что оно не соответствует требованиям или условиям данного хозяйственного процесса.
