Планирование мощности и материально-технического обеспечения строительного производстваРефераты >> Строительство >> Планирование мощности и материально-технического обеспечения строительного производства
землеройно-транспортных маши.
3. Изменение среднего возраста машин.
4. Изменение средней мощности машин.
5. Внедрение новых высокопроизводственных машин.
6. для кранов:
а) изменение уровня сборности;
Ъ) изменение этажности:
с) сокращение целосменных и внутрисменных потерь.
2. Планирование использования машин по времени и выработке.
Составляется баланс годового фонда времени работы машин.
Время перебазировки включает:
1. Простои машины после окончания работ на объекте до начала демонтажа.
2. Время на демонтаж, погрузку, транспортирование и разгрузку машины на новом объекте.
3. Время на монтаж и простои до начала работы:
Потери времени по метеоусловиям Новосибирска (V-температурная зона)
Техническое обслуживание и ремонт
Время нахождения машины в состоянии ремонта определяется в соответствии с графиком проведения планово-предупредительного ремонта.
ЕО - ежедневный осмотр, ТО - техобслуживание
ТР - текущий ремонт; КР - капитальный ремонт.
Определение коэффициента сменности парка
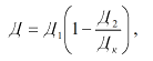
Итак, для обеспечения требующегося среднего числа машин необходимо рассчитать, какое их количество должно быть поставлено на объекты СО в течение планируемого периода дополнительно к имеющемуся на начало этого периода. Это количество определяется с учетом сроков поставки и необходимости замены машин, выбывающих в планируемом периоде вследствие физического износа по формуле:
где М - среднесписочное количество машин, требуемое на планируемый период;
М - наличие машин данного вида;
Кр- коэффициент, учитывающий равномерность поставок машин в течение планируемого периода;
А- количество машин, подлежащих списанию в связи с физическим и моральным износом.
Коэффициент использования парка машин по времени
Планирование поставок и списания машин
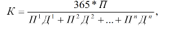
При увеличении объемов СК/ГР расчет потребности в строительных машинах производится в конечном итоге для определения величины поставки машин для пополнения действующего парка.
где П - количество машин, подлежащих поставке в течение года;
М - потребность в машинах данного вида на годовую программу работ:
Н - наличие машин на начало планируемого года;
К - коэффициент равномерности поставки машин в течение года.
Количество машин, подлежащих списанию в течение года, определяется на основании данных о техническом состоянии машин с учетом нормативных сроков их службы.
Порядок планирования расходов на эксплуатацию строительных машин
В расходы на эксплуатацию строительных машин в СО включаются;
1. Расходы по эксплуатации собственных машин.
2. Расходы, связанные с использованием арендуемых машин
В случае если для выполнения механизированных работ привлекаются субподрядные организации, либо заключаются договора по оказанию услуг, расходов, связанных с эксплуатацией машин, не возникает.
Рассчитывается планово-расчетная цена эксплуатации машино-часа.
Все рассчитывается на 1 час работы машины.
а) единовременные затраты связаны с доставкой, монтажом, демонтажем машин.
б) годовые затраты - амортизационные отчисления.
Заработная плата машинистов и их помощников определяется исходя из действующих в организации тарифных ставок, а также из требований, предъявленных к эксплуатации машин в соответствии с тарифно-квалификационным справочником: районные коэффициенты, все виды доплат в соответствии с трудовым законодательством (многосменная работа, выходные).
Накладные расходы определяются в % к прямым затратам по действующим нормам в данной организации.
Плановые накопления включаются в планово-расчетных ценах, если взаиморасчеты между организациями в ценах.
5. Формирование оптимальной структуры парка строительных машин.
Под рациональной структурой парка машин понимается их набор, в наибольшей мере соответствующий объемам и структуре выполняемых работ, условиям их выполнения, обеспечивающий выполнение запланированного объема работ в установленные сроки и с наименьшими закатами.
Имеется и различных групп работ; m - типоразмеров строительных машин.
Необходимо определить Хij - количество строительных машин го типоразмера, используемых на j-й группе работ, чтобы суммарные затраты по эксплуатации были минимальными.
2. Планирование материально-технического обеспечения строительного производства
Планирование МТО в составе годового плана решает следующие задачи:
1. Обеспечение бесперебойного снабжения качественными строительными материалами, деталями, конструкциями через систему связей с поставщиками.
