Изучение химического состава продовольственных товаров (на примере дубильных веществ)
1.3 Характеристика танина
Танины (от франц. tanner-дубить кожу), группа фенольных соединений растительного происхождения, содержащих большое количество групп ОН, молекулярная масса 500-3000; обладают дубящими свойствами. Дубящее действие танинов основано на их способности образовывать прочные связи с белками, полисахаридами и другими биополимерами (пектиновыми веществами, целлюлозой).
Танины содержатся в коре, древесине, листьях и плодах (иногда семенах, корнях, клубнях) многих растений - дуба, каштана, акации, ели, лиственницы, эвкалипта, чая, гранатового и хинного деревьев, сумаха, квебрахо; придают листьям и плодам терпкий вкус.
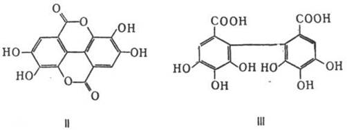
Различают гидролизуемые и конденсированные (негидролизуемые) танины. Основа гидролизуемых танинов - сложные эфиры галловой кислоты или родственных ей дигалловой и тригалловой кислот с многоатомным спиртом (например, глюкозой – рисунок 1). Так, наиболее распространенный китайский танин - дубящее вещество чернильных орешков (галлов) растения Rhos semialata-содержит главным образом смесь эфиров глюкозы и м-дигалловой (пента-м-дигаллоилглюкоза, галлотанниновая кислота) и тригалловой кислот; турецкий танин - вещество алеппских чернильных орешков дуба зараженного (Quercus infectoria)- смесь эфиров глюкозы и эллаговой (Рисунок 2 - II) и 4,5,6-гексагидроксидифеновой (Рисунок 2 - III) кислот.
Рисунок 1 - Глюкоза
R = (HO)3C6H2COO, (НО)3С6Н2СООС6Н2(ОН)2СОО, (НО)3С6Н2СООС6Н2(ОН)2СООС6Н2(ОН)2СОО
Рисунок 2 – II эллаговая кислота, III 4,5,6-гексагидроксидифеновая кислота
Танины такого строения легко гидролизуются кислотами, основаниями и ферментами танинацилгидролазами с образованием углеводов и фенолкарбоновых кислот; при пиролизе образуют пирогаллол.
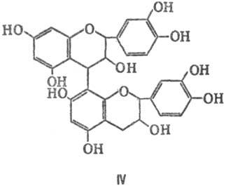
Конденсированные танины представляют собой производные флаванолов, главным образом димеры 3,4-флавандиола или 3-флаванола, например формулы IV (Рисунок 3). Под действием кислот и оснований такие танины не гидролизуются, а образуют нерастворимые, часто окрашенные в красный цвет полимеры; при пиролизе образуют пирокатехин.
Рисунок 3 – Димер флованола
Выделяют танины главным образом из коры акации, ели, каштана в виде водного экстракта, содержащего соответственно 36, 16 и 13% танинов по массе. Танины подавляют рост патогенных для многих растений микроорганизмов, защищают растения от поедания животными. Используются для дубления кожи и меха, приготовления чернил, протравливания текстильных волокон, как вяжущие лекарственные средства, для придания различным напиткам терпкого и вяжущего вкуса.
1.4 Характеристика химического состава чая и показатели его качества
Чай — тонизирующий напиток, обладающий высокими вкусовыми, ароматическими свойствами, оказывающий положительное влияние на организм человека и являющийся самым распространенным на земном шаре напитком.
Первые данные о чае найдены в древней китайской энциклопедии. В Россию чай попал более 300 лет назад (в 1638 г.) из Монголии. Как культура чай широко распространен на Черноморском побережье Кавказа, в Краснодарском крае, Индии, Цейлоне, Китае и т. д.
Значение чая как вкусового продукта обусловлено его ароматическими, вкусовыми и тонизирующими свойствами. Чай устраняет усталость, способствует восстановлению утраченной трудоспособности и улучшает самочувствие человека. Широко используют его как потогонное средство при простудных заболеваниях, он оказывает положительное действие на пищеварительную, кровеносную и нервную системы.
К числу экстрагируемых, то есть растворимых, специалисты относят шесть основных частей чая: дубильные вещества, эфирные масла, алкалоиды, аминокислоты, пигменты и витамины.
Дубильные вещества составляют 15-30% чая и представляют собой смесь более трех десятков полифенольных соединений и их производных, танина, различных катехинов, которые обладают свойствами витамина Р. При этом в зеленых чаях их содержание выше, чем в черных, поскольку последние в процессе производства подвергались процессу окисления. Продукты окисления (хиноны) в свою очередь окисляют другие вещества чайного листа и образуют многие ароматические продукты, участвующие в создании аромата чая.
Эфирные масла, которые присутствуют в еще зеленом листе, сохраняются в незначительном количестве в готовом чае. Именно с ними связан неповторимый аромат чая и от них во многом зависит качество чайного продукта. Хотя при переработке чайного листа потеря эфирных масел достигает 70-80%, одновременно возникают новые эфирные масла, которые воспроизводят запахи роз, меда, ванили, цитрусовых, сирени, корицы, что и создает «букет чая». В силу своей природы эфирные масла исключительно летучи, причем не только при повышении температуры, но и при неправильном хранении или заварке.
Алкалоиды – это, прежде всего, кофеин, который и служит тонизирующим средством. В чистом виде он представляет собой бесцветное, не имеющее запаха и горькое на вкус вещество, которое присутствует также в кофе, в какао и других тропических растениях.
В чае кофеина содержится больше, чем в кофе, но чайный кофеин действует на нас мягче, чем кофейный. Объясняется это тем, что а заварку идет меньше чая, нежели кофе, а также тем, что в чае кофеин выступает не изолированно, а в комплексе с танином, образуя соединение таннат кофеина, а оно более смягченно действует на сердечно-сосудистую и центральную нервную систему. Более того, кофеин чая не задерживается в организме человека, что исключает опасность отравления даже при чрезмерном употреблении чая.
Помимо кофеина, в состав чая входят в незначительном количестве другие алкалоиды – растворимые в воде теобромин и теофиллин, которые являются хорошими сосудорасширяющими и мочегонными средствами.
Аминокислоты, а их в чае обнаружено 17, включают, например, глютаминовую кислоту, которая исключительно важна для организма человека: она способствует восстановлению истощенной нервной системы человека. В процессе производства чая аминокислоты при взаимодействии с сахарами, танином и катехинами образуют альдегиды и таким образом принимают участие в образовании аромата чая.
Пигменты, входящие в состав чая, придают чайному настою самую различную окраску и оттенки. Это, прежде всего – хлорофилл, содержащийся более всего в зеленом чае, а также ксантофилл и каротин, содержащиеся обычно в моркови и преобладающие в черных чаях. Но цвет чайного настоя более всего определяют две группы красящих веществ – теарубигены и теафлавины. В готовом сухом чае теарубигены составляют около 10% и придают чаю при заваривании красно-коричневые тона, а теафлавины – около 1-2% и дают золотисто-желтую гамму.
Витамины, как показывают современные исследования, представлены в чае широкой гаммой. В чае имеется провитамин А – каротин, обеспечивающий нормальное состояние слизистых оболочек носа, глотки, гортани, легких, бронхов, мочеполовых органов и особенно важный для сохранения хорошего зрения.
