Незаменимые аминокислоты. Классификация витаминов
- лизин;
- аргинин.
Серосодержащие аминокислоты в своем составе содержат серу (S):
- метионин.
Ароматические аминокислоты характеризуются присутствием циклической, ароматической группировкой:
- фенилаланин;
- триптофан.
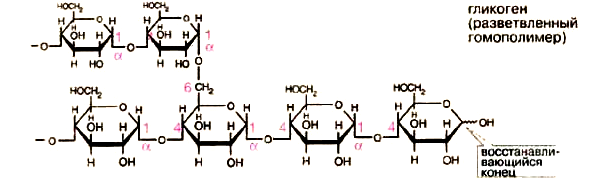
Гликоген как основной резервный полисахарид животных и человека. Химическое строение и биологическая роль гликогена.
Ответ:
Полисахариды - высокомолекулярные природные соединения углеводов, состоящие из большого количества моносахаридных звеньев, носят название полисахаридов. Число встречающихся в природе полисахаридов чрезвычайно велико, но самые важные из них целлюлоза, крахмал и гликоген. Полисахариды выполняют две основные функции структурную и питательную. Целлюлоза является структурным компонентом растительных тканей, содержится главным образом в стенках растительных клеток. Крахмал основное запасное питательное вещество растений. Этот важнейший пищевой полисахарид содержится в больших количествах в клубнях картофеля, во фруктах.
Химическое строение гликогена.
Гликоген, или животный крахмал, важный резервный полисахарид животных и человека. В организме человека и млекопитающих он накапливается главным образом в печени и мышцах. Тем самым гликоген осуществляет резервную функцию, причем он является резервом не только энергетическим, но также и резервом пластического материала. Гетерополисахариды выполняют в организме структурную функцию - они входят в состав глизаминопротеогликанов; последние, наряду со структурными белками типа коллагена или эластина, формируют межклеточное вещество различных органов и тканей. Гликозаминопротеоггликановые агрегаты, имея сетчатую структуру, выполняют функцию молекулярных фильтров, препятствующих или сильно тормозящих движение макромолекул в межклеточной среде. Кроме того, молекулы гетерополисахаридов имеют в своей структуре множество полярных и несущих отрицательный заряд группировок, за счет которых они могут связывать большое количество воды и катионов, выполняя роль своеобразных депо для этих молекул.
Классификация витаминов. Витамины группы D, химическая структура, биологическая роль, распространение в природе, суточная потребность.
Ответ:
Витамины - важный пищевой фактор, они необходимы человеку не из-за своей энергетической ценности, а из-за способности регулировать течение химических реакций в организме. Они помогают высвободить энергию, содержащуюся в продуктах питания, потребляемых нами. Без витаминов мы могли бы умереть от голода. При отсутствии или недостатке необходимых витаминов возможности нашего тела выделять из пищи и использовать питательные вещества ослабевают. Многие люди неумышленно разрушают витамины, полученные ими из пищи. Сахар и алкоголь могут нейтрализовать витамины В1, В6 и фолиевую кислоту. Курение препятствует поглощению организмом витамина С. Избыток протеина или жидкости в пище может вызвать вымывание из организма большого количества других витаминов, а антибиотики, слабительное, аспирин, многие другие лекарства, а также стрессы разрушают их еще сильнее.
Сегодня известно 13 витаминов. Это B1, B2, B6, B12, PP, C, A, D, E, K, фолиевая кислота, пантотеновая кислота, биотин. К ним надо добавить несколько соединений, получивших название витаминоподобных: липоевую кислоту, холин, инозит, биофлавоноиды (витамин Р) и ряд других. Витамины можно разделить на три группы. В основную включают витамины группы В: B1, B2, B6, B12, фолиевую кислоту, пантотеновую кислоту, РР, биотин. Эти витамины в качестве коферментов участвуют в углеводном, энергетическом обмене. Вторую группу формируют витамины-биоантиоксиданты, которые нейтрализуют активные формы кислорода. Это витамин С (аскорбиновая кислота), который действует в водных фазах организма: в сыворотке, в слезной жидкости, в жидкости, выстилающей легкие. Витамин Е, или токоферол, находящийся в оболочке клеток, которая тоже очень сильно подвержена повреждающему действию кислорода. В эту же группу входят каротиноиды, в частности бета-каротин. Третья группа - это прогормоны, то есть витамины, из которых образуются некоторые гормоны. В их числе витамины D, А и другие.
По своей химической природе все витамины делятся на две большие группы - жирорастворимые и водорастворимые. Водорастворимые витамины - это витамин С и витамины группы В. Водорастворимые витамины не накапливаются в организме и выводятся из него в течение нескольких дней, поэтому их следует принимать ежедневно. Жирорастворимые витамины А, D, Е и К накапливаются в печени и жировой ткани и поэтому сохраняются в организме в течение более длительного времени. Богатый источники водорастворимых витаминов - это многие фрукты, ягоды, овощи и зелень, а также пивные дрожжи (группа витаминов В) и проростки злаковых (например, овса). Жирорастворимые витамины в больших количествах содержатся в рыбьем жире, в масле, сливках, в некоторых овощах, а также в икре осетровых (витамин Е).
Витамином D называют несколько соединений (эргокальциферол - D2, холекальциферол - D3), близких по химической структуре, обладающих способностью регулировать фосфорно-кальциевый обмен, он обеспечивает всасывание кальция и фосфора в тонкой кишке, реабсорбцию фосфора в почечных канальцах и транспорт кальция из крови в костную ткань. Витамин D помогает в борьбе против рахита, способствует повышению сопротивляемости организма, участвует в активизации кальция в тонком кишечнике и минерализации костей.
Кальциферол (витамин D) необходим для нормального процесса всасывания кальция. Эргокальциферол образуется в растениях из провитамина - эргостерина, холекальциферол из 7-дегидрохолестерина, содержащегося в коже. Однако биологически активными формами являются не эрго - и холекальциферол, а продукты их окисления: 25-оксикальциферол, образующийся в печени, и 1,25-диоксикальциферол, образующийся в почках при участии специфических ферментных систем. Витамин D определяет ряд свойств мембран клетки и субклеточных структур и, в частности, их проницаемость для ионов кальция и других катионов.
Недостаточность кальциферола (рахит) наблюдается у многих детей раннего возраста. Основным методом профилактики рахита является пероральное введение растворов эргокальциферола. Недостаточность кальциферола у взрослых развивается редко и проявляется в форме остеопороза и остеомаляции. Дефицит кальциферола возникает также у беременных, длительно лишенных солнечного света и потребляющих высокоуглеводные пищевые продукты с нарушенным соотношением между кальцием и фосфором; у пожилых лиц, не потребляющих животных продуктов; у лиц, проживающих на Крайнем Севере. Кальциферол давно известен как вещество, обладающее токсическим действием в случае использования его в больших дозах.
Витамин D относительно устойчив к кислороду воздуха, а также при нагревании до температуры 1000°С и несколько выше, но продолжительное действие воздуха или нагревание до температуры 2000°C разрушают витамин D2.
