Организация работы школьной столовой на 200 мест
Расчёт количества людей для горячего цеха
|
Наименование блюд |
Количество блюд за день |
Коэффициент трудоемкости |
Количество Т (сек) |
|
Рассольник домашний |
1440 |
0.7 |
100800 |
|
Суп молочный с макаронами |
25 |
0.3 |
750 |
|
Борщ с капустой и картофелем |
25 |
0,5 |
1250 |
|
Картофель в молоке |
50 |
0.5 |
2500 |
|
Молоко кипяченное |
240 |
0.2 |
4800 |
|
Кисель из кураги |
1440 |
0.5 |
72000 |
|
Кисель из яблок |
25 |
0.5 |
1250 |
|
Какао с молоком |
10 |
0.2 |
200 |
Итого: 183550
Повара работают 5 дней в неделю при 8 часовом рабочем дне с двумя выходными
Расчет оборудования
|
Найми. оперц. |
Кол-во, кг |
Произв. Кг/ч |
Наймн. оборуд. |
Время работы оборудв. |
Время работы цеха, ч |
Коэф. исполз |
Кол-во машин |
|
Протирание овощей |
244 |
250 |
ПГ-0,6 со СМ-4-7-8,20 |
0,9 |
8 |
0,1 |
1 |
|
Холодильное оборудование
|
Продукт |
Кол-во, кг |
|
Масло |
14.625 |
|
Молоко |
96 |
|
Томатное пюре |
2 |
|
Кулинарный жир |
7 |
|
Сыр |
0.625 |
|
Всего: |
120.25 |
|
|
По данным расчетам выбираем холодильный шкаф ШХ-1.2С c габаритами 1535*810*2120
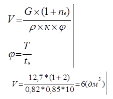
Расчет объема ванн
![]() |
| |||
По По расчетам выбираем СПМ-1500 с габаритами 1500*800*860
|
Расчет плиты |

