Производство йогурта резервуарным и термостатным способами
t2 =2k*Ft(tc –t1) + 2МСt1/2МС + kFt, К (1.1)
где k - коефициент теплопередачи. Вт/(м2*К); t - продолжительность пребывания продукта в резервуаре, ч; М - количество продукта, кг; С - теплоемкость продукту, Дж/(кг*К); t1, t2 - соответственно начальная и ко-нечная температура продукта, К; tc - температура окружающей среды, К; F - площадь поверхности резервуара, м2.
Расчет сепараторов
Для выделения из молока молочного жира используют явление естественного отстоя, когда в спокойно стоящем сосуде с молоком жировые шарики всплывают к поверхности сосуда, образуя слой сливок.
Скорость всплытия, м/с
(2.1)
где g –ускорение свободного падения, м/с2; τ – фактор разделения, с.
Значение τ определяется по формуле:
(2.2)
где ρп , ρж – плотности плазмы и жира, кг/м3; r – радиус жирового шарика, м; ηп – вязкость, Па⋅с.
Медленный процесс отстоя резко убыстряется в молочных сепарато-рах. Определим производительность сепаратора-сливкоотделителя по Г.И. Бремеру. Схема движения молока в межтарелочном пространстве показана на рис. 6
Разделяемый поток молока, состоящий из частиц плазмы плотностью ρп и жировых шариков плотностью ρж, направляется во вращающийся барабан сепаратора, где возникает поле действия центробежных сил и происходит отстойное центрифугирование. При этом на каждую взвешен-ную частицу действует центробежная сила Fц, отбрасывающая частицу от центра к периферии со скоростью vc, равной скорости осаждения (отстоя).
Рис. 6. Движение молока в межтарелочном пространстве барабана сепаратора: а – выделение жирового шарика; б – токи обрата и сливок; в – план скоростей.
Для оценки эффективности отстоя в центробежных устройствах срав-ним центробежную силу Fц с силой тяжести P , действующих в поле грави-тации при естественном отстое по соотношению Fц/ P= m ω 2R/ mg= ω 2R/ g. Откуда
(2.3)
где τ = ω2 R g – фактор разделения, показывающий во сколько раз дей-ствие центробежной силы превосходит силу тяжести (чем больше фактор разделения, тем выше разделяющая способность сепаратора); R– радиус барабана, м.
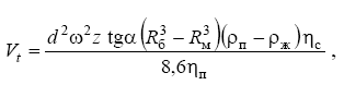
Формула для расчета производительности Vt (м/с) сепаратора:
(2.4)
где ηс – КПД сепаратора (ηс = 0,5…0,7).
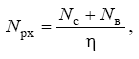
Пусковая мощность сепаратора:
(2.5)
где η = 0,8 .0,85 – КПД сепаратора.
Мощность холостого хода:
(2.6)
Мощность рабочего хода сепаратора:
(2.7)
где Nc – мощность, потребная для преодоления гидравлических сопро-тивлений в барабане и сообщение кинетической энергии выбрасываемой жидкости, кВт.
Оборудование для гомогенизации.
Эффективность гомогенизаци в зависимости от давления (от 30 до 200*105 Па) определяют по формуле:
d = 3,8/√∆p (3.1)
где d – диаметр жирового шарика в молоке после гомогенизации, мкм; ∆p – перепад давления, Мпа.
Продуктивность гомогенизатора определяют по формул, м3 /с,
М=πd2/4*SnZφ, (3.2)
где d- диаметр плунжера насоса, м; S - ход плунжера, м; n – скорость вращения коленчатого вала, об/с; Z – количество плунжеров; φ – объемный коефициент полезного действия (для молока (φ= 0,85).
Мощность, необходимую для работы гомогенизатора определяют по формуле, Вт:
N=МР0/ή, (3.3)
где Р0 - давление перед клапаном гомогенизатора. Па; ή-механический коефициент полезного действия гомогенизатора (ή= 0,75).
Повышение температуры продукта:
Δt = Nή/MρC, (3.4)
где р – плотность продукта, кг/м3; С - массовая теплоемкость продукта, Дж/(кг*К).
5.Правила эксплуатации
Эксплуатация автоцистерн и техника безопасности
Перед наполнением цистерны продуктом ее секции, шланги и сливные патрубки обязательно подвергают санитарной обработке, используя чистые корешковые и волосяные щетки, а также хлопчатобумажную ткань. Запре-щается чистить рабочую поверхность секций металлическими щетками, песком и другим абразивным материалом.
Систематически следует проверять исправность обратного клапана, устраняющего попадание паров бензина в секции цистерны, и не реже 1 раза в десять дней – предохранительного клапана, предупреждающего обра-зование вакуума в рабочих секциях свыше 340 мм рт. ст.
Для предотвращения продольного смещения цистерны необходимо через каждые 1000 км пробега проверять затяжку гаек, поясов и хомутов, крепление продольных брусьев к лонжеронам шасси автомобиля, не до-пускать резкого торможения, особенно при частично заполненных секциях.
После наполнения цистерны молоком следует тщательно проверять затяжку крышек люка, перекрытие пробковых кранов воздухопроводов и клапанных кранов молокопроводов, установку заглушек на выпускных штуцерах и наличие пломб. Необходимо периодически контролировать чистку сетки, установленной в штуцере коллектора двигателя автомобиля, при загрязнении промывать ее в бензине или керосине; строго следить за чистотой ящиков для шланга и арматуры.
Эксплуатация насосов и техника безопасности.
Полученные с завода-изготовителя насосы необходимо разобрать и осмотреть, убедиться в исправности деталей и отсутствии посторонних предметов. Детали насоса очищают от смазки, консервации и моют горячей водой и щелочноым раствором в соответствии с инструкцией по мойке молочного оборудования. Затем насосы собирают и присоединяют к трубопроводу. При монтаже тщательно проверяют сносность валов электродвигателя и рабочего колеса или ротора. Это особенно важно для насосов неконсольно-моноблочного типа, имеющих общую плиту с приводом. Необходимо правильно установить резиновое уплотнительное кольцо в паз корпуса.
Крышки к корпусу следует прижимать равномерно по окружности, не допуская перекоса. В противном случае нарушается работа насоса.
Электродвигатель присоединяют к электросети за выведенные концы обмотки статора в зависимости от напряжения по схеме, указанной на табличке (треугольник или звезда). При неправильном направлении вращения следует поменять местами две присоединительные фазы сети.
Вращать насос вхолостую свыше 3-4 мин не рекомендуется, так как его трущиеся части смазываются только перекачиваемым продуктом. Нарушение этого правила может привести к перегреву уплотнительного устройства и даже выходу его из строя.
Всасывающая труба должна быть короткой, прямой и герметичной. Нагнетательный и всасывающий трубопроводы должны свободно без перекосов присоединяться к патрубкам насосов.
