Разработка мероприятий по продвижению ресторанных услуг на примере предприятия Латина-Лабамба
Необходимо представить сводную таблицу затрат на реализацию проекта таблица 9.
Таблица 9 Сводная таблица по расходам на реализацию проекта
|
Наименование |
Стоимость (тыс. руб.) |
Удельный вес % |
|
Дополнительный фонд з/п с отчислениями |
166,32 |
40 |
|
Затраты на оборудование рабочих мест |
75 |
22 |
|
Затраты на аттестации, тренинги |
20 |
6 |
|
Закупка программного обеспечения |
10 |
3 |
|
Тесты |
15 |
4 |
|
Разработка карты вин и коктейлей |
10 |
3 |
|
Организация рекламной компании |
75 |
22 |
|
Итого |
371,3 |
100 |
Сметная величина затрат на реализацию проекта составила 371,3 тыс. руб., наибольший удельный вес это затраты на дополнительный фонд оплаты труда (40%), наименьший на разработку карты вин и коктейлей и закупку программного обеспечения.
3.2 Расчёт прибыли и от проекта
Годовая валовая прибыль предприятия составила 8022,2 тыс. руб., как показывает опыт аналогичных предприятий ресторанного бизнеса, после внедрения подобного рода мероприятий валовой доход предприятия увеличивается на 10-15%, таблица.
Таблица Расчёт прибыли
|
Наименование |
Единица измерения |
Сумма |
|
Валовая прибыль за год |
тыс. руб. |
1780,4 |
|
Прирост дохода |
% |
15 |
|
Налог на прибыль |
тыс. руб. тыс. руб. |
267,06 200 |
Эффективность проекта мероприятий характеризуется такими показателями как размер чистой прибыли от проекта, рентабельностью деятельности и сроком окупаемости проекта.
Для оценки экономической эффективности проекта мероприятий необходимо определить срок окупаемости расходов на реализацию проекта, которые состоят из затрат на оборудование, организацию рекламной компании, закупку программного обеспечения.
Итоговые экономические показатели от реализации проекта представлены в таблице
Таблица Экономические показатели реализации проекта
|
Наименование |
Единица измерения |
Сумма |
|
Валовой доход от реализации проекта |
тыс. руб. |
1203,3 |
|
Полная себестоимость |
тыс. руб. |
371,3 |
|
Прибыль |
тыс. руб. |
832 |
|
Чистая прибыль |
тыс. руб. |
632 |
|
Рентабельность деятельности |
% |
52 |
|
Срок окупаемости |
месяцев |
7,3 |
Основные экономические показатели, показали, что данный проект мероприятий является рентабельным и рекомендуется к внедрению на предприятии.
,
где Т - валовой доход от реализации проекта; В - валовая прибыль за год.
тыс. руб.
П=Т-А, где П - прибыль; Т - валовая прибыль от реализации проекта; А - себестоимость проекта. П=1203,3-371,3=832 тыс. руб.
ЧП=П-24%,
где ЧП – чистая прибыль; П – прибыль; 24% - налог с прибыли. ЧП=832-24%=632 тыс. руб.
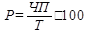
,
где Р - рентабельность деятельности; ЧП - чистая прибыль; Т - валовой доход от реализации проекта.
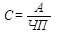
,
где А – себестоимость проекта; ЧП – чистая прибыль.
Заключение
В условиях современной рыночной ситуации остро стоит проблема конкуренции и борьбы за клиента в сфере ресторанного бизнеса. Индустрия быстрого питания – стремительно развивающиеся отрасль современного российского бизнеса. Потребители становятся всё более искушёнными и требовательными, проявляют интерес к здоровой и качественной пище.
В работе отражена специфика данного предприятия по отношению к другим предприятиям общественного питания с латиноамериканской кухней города Волгограда.
В аналитическом разделе был проведён подробный анализ деятельности кафе «Латина - Лабамба». Кафе предлагает своим гостям преимущественно услуги питания, и организацию досуга отличительной особенностью кафе является мексиканская и латиноамериканская кухня.
Кафе позиционируется как демократичное заведение с ценовой политикой, рассчитанной на посетителей со средним уровнем достатка и, играет заметную роль в организации отдыха гостей на рынке ресторанных услуг города.
На основании аналитического раздела разработан проект мероприятий по совершенствованию деятельности предприятия, который включает в себя: введение должности менеджера по персоналу, менеджера по маркетингу, структурирование меню, создание и внедрение детского меню, разработка и введение карты вин и коктейлей, организация и проведение рекламной компании, мероприятий по повышению качества обслуживания, внедрение приемов мерчендайзинга.
