Корреляционный анализ солнечной и геомагнитной активностейРефераты >> Авиация и космонавтика >> Корреляционный анализ солнечной и геомагнитной активностей
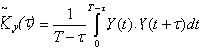
Из-за конечности реализации, что предполагает y(t) = 0 при t < 0 и t > T, при вычислении Kх(t) при конкретном t верхний предел интеграла и нормированный множитель превращаются T-t, т.е.
(2)
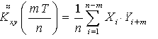
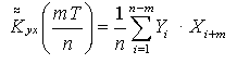
При равномерном дискретном задании реализации интервал между отдельными t равен T/n, n—общее число измеренных значений. Тогда t = m·∆t = m·T /n, T-t =( n – m) T /n, а выражение (2) превращается в
(3)
Эта оценка корреляционной функции является несмещенной, но, к сожалению, несостоятельной. Последнее утверждение чего понять, если учесть, что при m → n в формировании оценки принимает участие всего несколько сомножителей, из-за чего дисперсия оценки (3) не будет стремиться при больших m к нулю каким бы большим не было число n. По этой причине подобная оценка обычно используется при m £ n /5/
Чтобы получить состоятельную оценку корреляционной функции, приходится вводить весовую функцию, которую часто называют окном данных. Смысл подобного преобразования заключается в уменьшении веса значений корреляционной функции при больших m пропорционально числу точек, принимающих участие в формировании этих значений.
Простейший вид весовой функции – это «треугольник»
Λ(m) =
, которая обеспечивает линейное уменьшение веса.
В этом случае оценка корреляционной функции запишется как
(4)
Оценка вида (4), часто называемая усеченной оценкой, будет состоятельной, но смещенной, со смещением (n-m)/n .
При получении оценок взаимных корреляционных функций двух случайных процессов, X(t) и Y(t), к стационарному в указанном выше смысле виду, следует учесть, что функция Kxy(t) не является четной функцией, поэтому она должна быть получена в интервале – T … + T.
На практике используют соотношение Kxy(t) = Kxy(-t), т.е. учитывают зеркальную симметрию взаимной корреляционной функции. Несмещенные оценки находят на интервале 0…-Т с помощью выражений
(5)
(6)
Если ввести весовую функцию в треугольник, то выражение (5) и (6) перепишутся в виде
(7)
(8)
Чтобы из этих выражений сформировать, например взаимную корреляцию функции Kxy(t) на интервале – T … + T, необходимо отразить выражение (8), полученное на интервале 0 … -Т относительно оси координат в положение 0…-Т, а выражение (7) оставить без изменений.
6. Реализация задачи
Для прослеживания внутригодовых вариаций изменчивости чисел Вольфа и Ар-индекса был взят год максимума солнечной активности 2002 год за прошедший цикл (1997г.-2008г). В приложении (таблица 5) находятся исходные данные к построенным диаграммам №1- №3.
Автокорреляционная функция Ар показывает полугодовые пики, связанные с достижением Землей в ее годичном движении наибольших гелиоцентричный широт в , которые сопровождаются постепенно затухающими всплесками. Как и ожидалось, проявляется 25-27 дневная цикличность.
Как видно из диаграммы №3, четкая цикличность Ар индекса не полностью совпадает с внутригодовыми циклами показателя солнечной активности, т.к. изменчивость индексов Ар больше чем чисел Вольфа.
Между тремя наибольшими положительными пиками в точках 19, 104, 195 имеется периодичность около 90 дней (диаграмма №2). Подобное наблюдается с тремя наибольшими отрицательными пиками в точках 47, 133, 236 (период между ними так же около 90 дней). Исходя из данных фактов следует предположение, что данная периодичность является внутригодовым циклом чисел Вольфа.
Из взаимной корреляционной функции Ар и Rw видна наибольшая взаимосвязь с 27 дневной цикличностью. Исходя из подобного разброса, можно сделать вывод, что некая взаимосвязь между числами Вольфа и Ар-индексом существует, но довольно слабая.
Выводы
Основной задачей настоящей работы являются статистические оценки автокорреляционных функций Ар и Rw и связи между изменениями солнечной активности и предполагаемыми результатами их воздействий – проявлениями природных процессов на Земле.
Для того, чтобы более детально отобразить характер солнечно-земных связей был рассмотрен год максимума прошедшего цикла, т.е. 2002 год. Как и ожидалось, автокорреляционная функция Ар-индекса выявила 25-27 дневную цикличностью со смещением в 2-5 дня, а также полугодовые пики , связанные с достижением Землей наибольших гелиографичных широт. Автокорреляционная функция чисел Вольфа за данный год показала, что между положительными и отрицательными пиками имеется цикличность примерно равная 90 дням.
Изменчивость процессов, происходящих в биосфере, бесспорно, связана с солнечной активностью. В наше время существуют предположение, что солнечная активность (её минимумы) влияет на физиологию, психологию людей, а как следствие, на все факторы, связанные с человеческой деятельностью.
Литература
1. http/www/krugosvet.ru/articles/125/1012579/10125/a4.htm Гелиофизические связи
2. С.-И. Акасофу, C. Чепмен. Развитие центра активности. Солнечно-земная физика. 2-я часть. М.: «Мир» — 1974. —с. 194-197.
3. И.П. Дружинин, Н.В. Хомянова. Выбор характеристик солнечной активности.// Солнечная активность и переломы хода природных процессов на Земле. М.: «Наука» - 1969г. – с.13.
4. В.П Вязыцин. Природа пятен //Курс астрофизики и звездной астрономии том №3 М.: «Мир» — 1964. — с. 61-62.
5. В.П Вязыцин. Магнитное поле пятен. Общее магнитное поле Солнца //Курс астрофизики и звездной астрономии том №3 М.: «Мир» — 1964. — с. 57.
6. Бакулин П.И., Канонович Э.В., Мороз В.И. Общие сведения о Солнце.// Курс общей астрономии. 5-е изд. М.: «Наука» 1983 — с.265.
7. С.-И. Акасофу, C. Чепмен. М-потоки; межпланетная секторная структура и разрывы. Солнечно-земная физика. 2-я часть. М.: «Мир» — 1974. —с.280-293.
8. С.-И. Акасофу, C. Чепмен. Магнитосферные бури.// Солнечно-земная физика. 2-я часть. М.: «Мир» — 1974. —с.319-322.
9. С.-И. Акасофу, C. Чепмен. Солнце и межпланетные магнитные поля. Солнце как источник межпланетной секторной структуры. // Солнечно-земная физика. 2-я часть. М.: «Мир» — 1974. —с.13.
10. С.-И. Акасофу, C. Чепмен. Магнитное поле Земли. Составляющие магнитного поля. // Солнечно-земная физика. 2-я часть. М.: «Мир» — 1974. —с. 96-99.
11. С.-И. Акасофу, C. Чепмен. Геомагнитные индексы. // Солнечно-земная физика. 2-я часть. М.: «Мир» — 1974. —с. 293-301.
12. А.М. Грецкий,Н.Н. Евсюков. Корреляционный анализ солнечно-земных связей.//Астрофизические приложения методов теории случайных функций. Харьков ХГУ 1988 —с.10-14.
13. И.П. Дружинин, Н.В. Хомянова Солнечная активность и переломы хода природных процессов на Земле. М.: «Наука» - 1969г. – с.323.
