Взаимодействие радионуклидов с почвойРефераты >> Ботаника и сельское хоз-во >> Взаимодействие радионуклидов с почвой
Содержание
1 Включение радионуклидов в биологический цикл
2 Поведение радионуклидов в почвах в зависимости от агрохимических показателей почв
3 Роль гранулометрического и минералогического состава почвы в процессе сорбции радионуклидов
4 Влияние времени взаимодействия радионуклидов с почвой на формы их нахождения в почве
Литература
1 Включение радионуклидов в биологический цикл
Радиоактивные вещества, попадающие в атмосферу, в конечном счете концентрируются в почве. Через несколько лет после радиоактивных выпадений на земную поверхность поступление радионуклидов в растения из почвы становится основным путем попадания их в пищу человека и корм животных. При аварийных ситуациях, как показала авария на Чернобыльской АЭС, уже на второй год после выпадений основной путь попадания радиоактивных веществ в пищевые цепи — поступление радионуклидов из почвы в растения.
Радиоактивные вещества, попадающие в почву, могут из нее частично вымываться и попадать в грунтовые воды. Однако почва довольно прочно удерживает попадающие в нее радиоактивные вещества. Поглощение радионуклидов обусловливает очень длительное (в течение десятилетий) их нахождение в почвенном покрове и непрекращающееся поступление в сельскохозяйственную продукцию. V Почва как основной компонент агроценоза оказывает определяющее влияние на интенсивность включения радиоактивных веществ в кормовые и пищевые цепи.
Поглощение почвами радионуклидов препятствует их передвижению по профилю почв, проникновению в грунтовые воды и в конечном счете определяет их аккумуляцию в верхних почвенных горизонтах. Так, на целинных участках, на естественных лугах и пастбищах радионуклиды задерживаются в самом верхнем слое (О—5 см). После обработки почвы радионуклиды находятся преимущественно в пахотном слое.
Для дальнейшей миграции попадающих в почву радионуклидов и их вовлечения в биологический цикл процесс поглощения почвами имеет двоякое значение. С одной стороны, сорбция (поглощение) почвами, как правило, снижает размеры поступления радионуклидов в растения. С другой стороны, аккумуляция сорбированных радионуклидов в верхних горизонтах почвы, т. е. в слое наибольшего распространения корней растений, повышает доступность их растениям, а следовательно, способствует большему накоплению радионуклидов в урожае, чем при свободном передвижении их в более глубокие горизонты.
От поведения радионуклидов в почве зависит их дальнейшая судьба, а именно: размеры вымывания их с осадками, миграция по почвенному профилю, степень перехода в прочносорбированное (фиксированное) состояние и, как следствие всех этих процессов, интенсивность поступления в растения. Чем полнее радионуклиды поглотятся почвенным поглощающим комплексом (ППК), чем прочнее они закрепятся в поглощенном состоянии, тем меньше будут вымываться с осадками, мигрировать по профилю почвы и в относительно меньших количествах будут поступать в растения.
2 Поведение радионуклидов в почвах в зависимости от агрохимических показателей почв
Поглощение почвами. Поведение радионуклидов в почвах в процессах обменного поглощения подчиняется тем общим законам, которые были установлены классическим учением К. К. Гедройца о поглотительной способности почв. Однако процесс сорбции, в котором участвуют радионуклиды, характеризуется тем, что сорбируемое вещество находится в микроколичествах, т. е. в предельно низких концентрациях. Поэтому в данном случае существует очень широкое отношение между величиной емкости поглощения почвы и степенью ее заполнения радиоактивными нуклидами. Следовательно, в процессе поглощения микроколичества радионуклидов не конкурируют за места на поверхности сорбента, так как по отношению к ним насыщенность сорбента всегда остается очень низкой.
Каждая почва в естественном состоянии содержит определенное количество обменно-поглощенных катионов Са, Н, Mg, Na, К, NH4, A1 и др. В большинстве почв среди них преобладает Са, второе место занимает Mg, в некоторых почвах в поглощенном состоянии в значительном количестве содержится Н и обычно относительно немного Na, К, NH4 и А1.
Равновесие между твердой фазой почвы и раствором, содержащим макроэлементы и микроколичества радионуклидов, в общем подчиняется закону действующих масс. Но и здесь следует учитывать специфику, которая обусловливается низкой концентрацией радионуклидов в растворе и относительной большой величиной емкости почвы как сорбента. Если изменение концентрации макроэлементов в такой системе может существенно повлиять на распределение микроколичеств радионуклидов между раствором и сорбентом, то изменение концентрации радионуклидов в той же системе практически не влияет на распределение макроэлементов.
Характер взаимодействия радионуклидов с ППК в общем можно представить следующей схемой обменной реакции:
ППКМ + т↔ППКт + М,
где ППК—почвенный поглощающий комплекс; М — ионы элементов поглощающего комплекса; т — ионы радионуклидов.
Радионуклиды обычно присутствуют в растворе в микроколичествах. Количественными критериями, описывающими процессы взаимодействия радионуклидов с почвами, являются полнота поглощения (сорбция) их ППК и прочность закрепления в поглощенном состоянии. Последняя определяет формы нахождения в почве: водорастворимые, обменные и прочно фиксированные почвой (необменные).
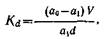
Для характеристики сорбционных процессов радионуклидов в почвах иногда пользуются коэффициентом распределения (Ка) между твердой и жидкой фазами почвы:
где а0 и а1 — активность раствора соответственно до и после сорбции; V — объем раствора; d — навеска сорбента.
Отношение сорбированного радионуклида в 1 г почвы к количеству радионуклида, оставшемуся в 1 мл раствора после установления равновесия между раствором и почвой, называется коэффициентом распределения. Чем выше величина коэффициента распределения, тем больше радионуклидов сорбируется почвой.
Твердая фаза почвы довольно полно поглощает все радионуклиды (табл. 1). Исключение составляет только 106Ru, поглощение которого дерново-подзолистой супесчаной почвой не превышает 50 %, а другими почвами— 60%. Это объясняется тем, что Ru образует комплексные соединения с органическим веществом почвы и поэтому находится в почвенных растворах в коллоидном состоянии. Меньшее поглощение почвами 106Ru способствует более интенсивной миграции его по профилю почв.
Сорбция радионуклидов почвами, % поглощенного количества
|
Радионуклид |
Поглощено |
Вытеснео 0,1 н СаС12 |
Вытеснено 1 н КС1 | ||||||
|
дерново-подзолистые |
черно- зем |
дерново-подзолистые |
черно- зем |
дерново-под-золистые |
чернозем | ||||
|
супесь |
суглинок |
супесь |
суглинок |
супесь |
сугли-кок | ||||
|
90Sr |
66 |
92 |
96 |
87 |
84 |
59 |
56 |
50 |
30 |
|
137Cs |
98 |
99 |
99 |
3 |
2 |
1 |
94 |
8 |
1 |
|
106Ru |
49 |
65 |
61 |
14 |
11 |
10 |
1 |
7 |
3 |
|
144Се |
98 |
99 |
100 |
0,4 |
0,3 |
0,1 |
0,4 |
0,4 |
0 |
|
147Pm |
86 |
98 |
99 |
9 |
7 |
4 |
4 |
3 |
1 |
|
60Co |
94 |
97 |
98 |
2 |
1 |
0,4 |
2 |
2 |
0 |
