Комбикормовая промышленностьРефераты >> Ботаника и сельское хоз-во >> Комбикормовая промышленность
При силосном хранении эффективнее используется объем зернохранилища, здесь можно полностью механизировать приемку. Однако стоимость силосных хранилищ выше напольных. В то же время затраты на сооружение силосных хранилищ быстро окупаются благодаря меньшим издержкам при эксплуатации и высокой производительности труда.
Существуют и некоторые другие виды зернохранилищ. Пакгауз — склад железнодорожного типа с полом на уровне пола вагонов. Пакгауз предназначен для приемки, хранения и отгрузки любых штучных и насыпных грузов.
Сапетка, или кош, — небольшой склад с решетчатыми стенами для хранения кукурузы в початках, продольная сторона которого расположена поперек господствующих в данной местности ветров.
Вентилируемый бункер — специальное металлическое зернохранилище небольшой вместимости, предназначенное для приемки, обработки (вентилирования, сушки) и хранения свежеубранного зерна и семян. Вентилируемые бункера могут быть расположены по одному и в виде механизированных батарейных комплексов.
Металлический силос-зернохранилище значительной вместимости с плоским и наклонным полом. Его используют в единичных экземплярах и в виде батарей.
Элеватор — комплекс рабочей башни и силосного корпуса для приемки, обработки, хранения и отпуска зерна различных культур при полной механизации всех работ и дистанционном контроле за состоянием хранящегося зерна.
Асфальтированная площадка — специально подготовленный участок территории с утрамбованным или асфальтированным полом для временного размещения зерна и его очистки на передвижных зерноочистительных машинах.
Бунт — временное сооружение со стенами из щитов, досок или других вспомогательных материалов, устроенное на специальной площадке и укрытое сверху брезентом или пленкой.
Навес — сооружение без стен, но с крышей и асфальтированным полом.
Механизированный ток — комплекс оборудования и сооружений для приемки, первичной обработки свежеубранного зерна и его кратковременного хранения под навесом.
Хранилище любого типа проектируют и строят с обязательным учетом следующих основных особенностей зерна.
1. Зерно — живой организм, сохранность которого во многом зависит от условий окружающей среды — температуры и влажности.
2. При правильном хранении качество зерна полностью сохраняется и во многих случаях улучшается. Нарушение режимов хранения зерновой массы ведет к ухудшению качества зерна.
3. Зерновая масса обладает свойством сыпучести и оказывает значительное давление на пол и стены хранилища.
4. Производство зерна носит сезонный характер. Зерно нового урожая поступает на обработку и хранение в сжатые сроки (в течение 10 .20 дней), а расходуется на протяжении всего года. В связи с этим большая часть зернохранилищ используется не полностью в течение года.
5. Зерно и семена занимают только часть склада. Необходимость размещения технологического оборудования, оставления свободного пространства для наблюдения за зерном приводит к тому, что в зернохранилищах на 1 т хранимого зерна приходится 2,5 .3 м3 помещения.
Помимо физических и биологических особенностей зерновой массы учитывают показатели экономического характера, отражающие капитальные затраты и стоимость хранения.
Основные требования к зернохранилищам перечислены ниже.
1.Вместимость хранилища должна обеспечивать размещение всего зерна с учетом переходящих остатков урожаев предшествующих лет.
2.Хранилища должны надежно защищать зерно от грунтовой влаги, атмосферных осадков и грызунов. Не должно быть просыпей и смешивания зерна, а также условий для развития и жизнедеятельности вредителей.
3.Хранилища должны быть прочными, долговечными, пожаро- и взрывобезопасными.
4.Должна быть предусмотрена возможность наблюдения за зерном в период хранения.
5.Все процессы, связанные с погрузочно-разгрузочными работами и обработкой зерна, должны быть механизированы.
6.Хранилища должны быть безопасными для работающих, обеспечивать надлежащие санитарно-гигиенические условия труда и хранения зернопродуктов.
7.Должны быть недорогостоящими, с минимальными эксплутационными расходами.
8.К месту хранения зерна должны быть хорошие подъездные пути.
При эксплуатации зернохранилищ высоту слоя зерна принимают в зависимости от его качества, но не более расчетной — около стен 2,5 м и в середине 5 м. Для этого на стенах высоту засыпки отмечают красной линией.
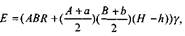
Вместимость склада с горизонтальным полом, т:
(1)
где А — внутренняя длина склада, м; В — внутренняя ширина склада, м; R — высота засыпки зерна около стен, м; а — длина насыпи зерна поверху, м; b — ширина насыпи зерна поверху, м; Н— высота насыпи зерна в середине склада, м; h — высота засыпки зерна около стен, м; у— натура, т/м3.
Длина и ширина насыпи зерна поверху, м:
а = А-2(Н- h)ctg α; в=В- 2(H-h)ctg α,
где α — угол естественного откоса, град; α=25°.
При размещении в складе вместимость, полученную по формуле (1), уменьшают на 10 .20 %.
Стены зернохранилища должны иметь достаточную прочность, рассчитанную на воздействие нагрузки от давления зерна, крыши и ветра. Одновременно они должны хорошо защищать зерно от атмосферных осадков и обладать достаточной гигроскопичностью. Внутренняя поверхность стен не должна иметь щелей, где могут развиваться вредители.
Ввиду того что боковое давление зерна на стену распределяется неравномерно, ее толщину по высоте делают неодинаковой (у основания 523 мм; в середине 380 мм; в верхней части 250 мм). При этом через каждые 3 м располагают контрфорсы, что придает стенам достаточную прочность и устойчивость.
Для предохранения стен от грунтовой влаги между ними и фундаментом делают гидроизоляционную прослойку.
Полы зернохранилища также должны обладать достаточной прочностью и противостоять нагрузке от колес передвижных механизмов. Они должны обладать хорошей влагонепроницаемостью, защищать зерно от проникновения грызунов и исключать возможность развития вредителей.
В современных зерновых складах делают асфальтовые полы. Каменные и бетонные полы нежелательны, так как они разрушаются при перемещении передвижной техники, что приводит к увеличению зольности зерна. Асфальтовое покрытие делают толщиной 25 .30 см. У стен полы закругляют, чтобы облегчить их очистку.
Крыша склада должна быть прочной, легкой, огнестойкой и малотеплопроводной.
Основной каркас крыши, как правило, изготовляют из дерева. Для кровли используют шифер, кровельную сталь и рубероид. В типовых проектах угол наклона крыши 26°.
В последних проектах зернохранилищ применяют железобетонные и металлические конструкции.
Ворота шириной 2,2 м, высотой 2,6 м делают как по длине, так и в торце склада. Их делают распашными, на давление зерна не рассчитывают, поэтому с внутренней стороны, около проема укладывают закладные доски, которые давлением зерна прижимаются к каменной стене. Над закладными досками должна быть устроена сетка, препятствующая проникновению в склад птиц. Иметь большое число ворот нецелесообразно.
