Обоснование выбора пестицидов для борьбы с вредными объектами и разработка технологии их эффективного и безопасного примененияРефераты >> Ботаника и сельское хоз-во >> Обоснование выбора пестицидов для борьбы с вредными объектами и разработка технологии их эффективного и безопасного применения
5 %-ный гранулят вносят в почву вместе с семенами озимой пшеницы против личинок хлебной жужелицы при расходе 50 кг/га с семенами кукурузы против проволочников - так же, как и 10 %- ный препарат при той же норме расхода; применяется на капусте против капустной мухи - 20-50 кг/га.
Срок последней обработки пшеницы и капусты за 30 дней, других культур - за 20 дней до уборки. 10 %-ный гранулированный препарат применяется на сахарной свекле не позднее чем за З0 дней до уборки.
Допускаются остатки базудина в капусте, луке, картофеле, хлопковом масле, кукурузе, зерне - 0,1 мг/кг, в томатах, свекле, огурцах - 0,5 мг/кг. Разрешается однократная обработка пшеницы, двукратная - других культур.
В алюминиевой или железной таре со специальным покрытием можно хранить два года.
Остаточное количество определяют ТСХ или ГЖХ.
TMTД (тирам).
Действующее вещество тетраметилтиурамдиcульфид, а по новой номенклатуре - бис-(диметилтиокарбамоил)- дисульфид:
Мелкокристаллический порошок желтовато-серого цвета, температура плавления 155-156°С. Практически нерастворим в воде, но растворим в большинстве органических растворителей. Соединение химически стойкое, не разрушается в кислой и щелочной средах. Устойчиво к воздействию высоких температур. Разрушается сильными окислителями с образованием серной кислоты и углекислого газа, восстановители в щелочной среде переводят тетраметилтиурамдисульфид в соли диметилдитиокарбаминовой кислоты.
Нелетуч, поэтому при работе с ним можно использовать противопылевые респираторы.
ТМТД выпускается в форме 80%-ного смачивающегося порошка. Препарат устойчив при хранении. В виде тонкой взвешенной пыли создает взрывоопасные смеси с воздухом.
ТМТД устойчив к воздействию факторов внешней среды и относится к стойким пестицидам, которые разлагаются в биологических средах до нетоксичных компонентов в течение 0,2-2 лет.
На растениях сохраняется 1-1,5 мес после обработки. В связи с опасностью накопления остатков препарата в урожае применять ТМТД разрешается только для обработки семян и обеззараживания посадочного материала.
Протравливание семян проводят водной суспензией или с увлажнением непосредственно перед посевом или заблаговременно (за несколько месяцев до посева). Семена бобовых культур обрабатывают при нитрогенизации не менее чем за 2 нед до посева.
Нормы расхода 80%-ного препарата для обработки 1 т семян зерновых 1,5-2 кг, сахарной свеклы - 5-6, бобовых - 3-4, льна, подсолнечника - 2-3, огурца, арбуза, дыни - 4-5, томата, капусты - 8, лука-севка и лука-чернушки - 4-5 кг.
ТМТД против головневых заболеваний, особенно пленчатых культур, менее эффективен, чем ртутьсодержащие препараты, но надежно защищает семена от возбудителей плесневений и корневых гнилей. В почве на протравленном зерне сохраняет фунгицидную активность до 30 дней.
Применяют ТМТД в борьбе с фузариозом пшеницы, плесневением семян кукурузы, полиспорозом льна, аскохитозом гороха, корнеедом сахарной свеклы и др.
ТМТД эффективен против болезней маточников корнеплодов и клубней картофеля. Обработку семенников моркови проводят перед укладкой на зимнее хранение и перед высадкой в грунт, норма расхода 6-8 кг/т.
Опудривание препаратом корнеплодов перед закладкой на хранение снижает отходы за период хранения в 1,5-2 раза, повторная обработка весной перед посадкой уменьшает выпады растений на поле в 1,5-4 раза.
Обработка клубней картофеля перед посадкой в норме 2,1- 2,5 кг/т (70 л 3-3,5%-ной суспензии ТМТД на 1 т) уменьшает поврежденность паршой, ризоктониозом, фитофторозом. Для борьбы с болезнями капусты ТМТД применяют для обработки рассады в парниках и рассадниках в количестве 1-1,5 г/м2. В повышенных нормах препарат обладает репеллентными свойствами для мышей.
ТМТД среднетоксичен для теплокровных животных и человека (СД50 для крыс 400 мг/кг). Обладает выраженным кумулятивным действием, при нанесении на кожу вызывает дерматиты, при попадании в глаза - конъюнктивит, повышает чувствительность к алкоголю, в больших дозах оказывает мутагенное и канцерогенное действие.
Остатки ТМТД во всех пищевых продуктах не допускаются, ПДК в воздухе рабочей зоны 0,5 мг/м3.
Пиримор (пиримикарб)
Действующее вещество (2-диметиламино-5,6-диметилпиримидин-4-ил)-диметилкарбамат:
Химически чистое соединение-бесцветное кристаллическое вещество без запаха, слабо растворимое в воде и хорошо - в органических растворителях. В водной среде и на обработанных поверхностях быстро разрушается.
Препарат нефитотоксичен, не повреждает цветков, плодов, листьев.
Пиримор - инсектицид контактного, фумигационного и системного действия, высокоэффективен против всех видов тлей и отличается быстротой действия. Системный эффект проявляется при поступлении через корни. При опрыскивании растений инсектицид передвигается только в пределах одного листа. Малотоксичен для пчел и энтомофагов тли (златоглазка, божья коровка), что позволяет применять его на цветущих культурах и в системах интегрированной защиты.
Для человека и теплокровных животных высокотоксичен (СД50 для крыс 111 мг/кг), кожно-резорбтивное, раздражающее и кумулятивные свойства выражены слабо.
Для опытно-производственного применения разрешается 50 %- ный смачивающийся порошок пиримора для борьбы с тлями, особенно устойчивыми к органическим соединениям фосфора, на семенных участках картофеля - 1,5-2 кг/га; на высадках сахарной свеклы - 0,6; на хмеле - 1- 2 кг/га.
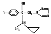
Альто (ципроконазол)
Действующее вещество (2RS,3RS)-1-(1H-1,2,4-триазол-1-ил)-2-(4-хлофенил)-3-циклопропилбутан-2-ол, смесь изомеров ~ 1:1 (Sandoz)
Бесцветное кристаллическое вещество без запаха, температура плавления 106-109°С. Давление пара (20°С) 0,035 мПа. растворимость в воде (22°С) 140 мг/л; в органических растворителях (25°С, в %): в ацетоне > 23, этаноле > 23, ксилоле 12,1. Термо- и фотостабилен.
Выпускается в виде 10- и 40% СП, 5%-го КЭ, 10- и 40%-х Г, 10- и 40%-х ВК.
ЛД50 для крыс 1020-1333 мг/кг. Не раздражает кожу и глаза кроликов. высокотоксичен для водорослей.
Фунгицид с контактным и системным действием для борьбы с комплексом заболеваний пшеницы, ячменя, риса, виноградной лозы, овощных, декоративных, плодовых, косточковых культур, бобовых, сахарной свеклы; особенно эффективен против всех видов ржавчины. Обладает длительным защитным и лечебным действием: продолжительность устойчивого действия против ржавчин более 6 нед. Нормы расхода (в г/га): зерновых бобовых, арахиса - 40-100, для чайных плантаций - 20, для виноградников и декоративных культур - 10-50.
Альто, 40% СК - разрешен для применения (в л/га по препарату) на яровых и озимых (0,1-0,2) и ячмене (0,2-0,25), на ржи, овсе, сахарной свекле (0,15-0,2). Ингибитор биосинтеза эргостерола. В почве малоподвижен.
