Повышение эффективности использования машинно-тракторного парка ЗАО СПФ Агротон отделение ШтормовоРефераты >> Ботаника и сельское хоз-во >> Повышение эффективности использования машинно-тракторного парка ЗАО СПФ Агротон отделение Штормово
Задача – создать шарнир гусеничной цепи защищенный от попадания абразива между трущимися поверхностями, а также создать условия сочетания скольжения и перекатывания втулок по пальцу и по поверхности проушин. Это достигается тем, что шарнир гусеничной цепи содержащий проушины с установленными в них плавающими втулками, соединительный палец, ограничители осевого перемещения пальца, размещенные на его концах, уплотнительные кольца, установленные между крайними втулками и ограничителями осевого перемещения пальца, снабжен ограничительными шайбами, наружный диаметр которых больше диаметра втулок, находящимися между торцами средних проушин и втулками, установленными в крайние проушины, выполненных с фланцем со стороны средней проушины, причем общая длина втулок и ограничительных шайб выполнена больше ширины всех проушин на суммарную величину зазоров между проушинами. Снабжение шарнира ограничительными шайбами, наружный диаметр которых больше диаметра втулок, находящимися между торцами средних проушин и втулками, установленными в крайние проушины, выполненных с фланцем со стороны средней проушины обеспечивает невозможность захода концов втулок в отверстия смежных проушин, а следовательно втулки могут свободно вращаться и перекатываться по пальцу. Выполнение общей длины втулок и ограничительных шайб больше ширины всех проушин на суммарную величину зазоров между проушинами обеспечивает смыкание их торцов, что препятствует проникновению абразива в радиальные зазоры между пальцем и втулками.
Рис. 4.2 – Шарнир гусеничной цепи
Шарнир гусеничной цепи содержит проушины звеньев 1 гусеничной цепи, в которые устанавливаются крайние втулки 2 с фланцем и плавающие центральные втулки 3, межторцовые ограничительные шайбы 4, втулки соединяются пальцем 5. Палец и втулки зафиксированы в проушинах звеньев ограничителями, установленными на палец с обеих сторон и состоящими из шайб 6 и стопорных колец 7. В концевых проушинах между крайними втулками и шайбами установлены упругие уплотнительные кольца 8.
При работе шарнира плавающие втулки с радиальным зазором между поверхностями втулок проушин и пальцев, втулки с фланцем в крайних проушинах и ограничительные шайбы между торцами средних проушин обеспечивают невозможность осевого перемещения втулок и защемления их концов в смежных проушинах и создает при перегибе цепи условия сочетания скольжения и перекатывания втулок по пальцу и по поверхности проушин, таким образом увеличивается их износостойкость и надежность шарнира.
Для улучшения тягово-сцепных качеств трактора Т-150 грунтозацепы выполняются под углом 15º к поперечной оси звена, что позволяет увеличить коэффициент сцепления на 20%
4.10 Расчет сил и напряжений действующих в шарнире
Расчету подвергаются проушины звеньев и пальцы. Исходными данными для расчета являются вес Gт (80000 Н) трактора и ширина bг гусеницы. Расчетное усилие, растягивающее звенья гусеницы, ограничивается предельной силой по сцеплению забегающей гусеницы с опорной поверхностью при повороте трактора на уклоне крутизной а = 30° в сторону подъема.
В этом случае расчетная сила, растягивающая звенья гусеницы (рис. 4.3, а),
(4.18)
Р = 0,65*80000 *1 = 52000 (Н)
где φ=1,0.

Рис. 4.3 – Расчетная схема: а) – гусеницы с ОМШ; б) – проушины звена гусеницы.
Для обеспечения равной прочности проушин должно соблюдаться условие
(4.19)
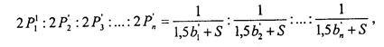
где n, n’ и bi, bi’ – соответственно число и ширина проушин охватываемой и охватывающей сторон звена гусеницы.
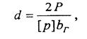
Диаметр пальца из условия обеспечения требуемой износостойкости
(4.20)
где [р] = 10 МПа – допускаемое давление в проушинах звена гусеницы (параметр износостойкости).
d = 2*52000/(10*1000000*0.47) = 0.022 (м);
d = 22 мм
Число проушин охватываемой стороны звена гусеницы определяют из условия ограничения напряжений среза в пальце:
(4.21)
где [τ] ср = 40 МПа – допускаемое напряжение среза.
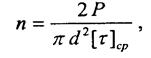
n = 104000/(3.14*(0.022)²*40*1000000) = 1.7;
n = 2.
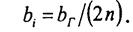
Для обеспечения равной прочности и износостойкости проушины охватываемой стороны должны быть одинаковой ширины:
(4.22)
С этой же целью крайние проушины охватывающей стороны звена выполняют в 1,5…2 раза уже средних, равных по ширине проушин.
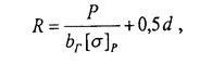
Радиус проушины определяют исходя из расчета ее на разрыв (рис. 4.3, б):
(4.23)
где [σ] р = 30 МПа – допускаемое напряжение растяжения.
R = 52000/(30*1000000*0.47)+0.5*0.022 = 0.0256 (м);
R = 0.026 м
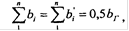
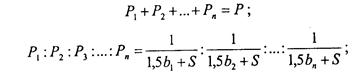
После конструктивной проработки звеньев гусеницы необходимо выполнить поверочные расчеты звеньев и пальца с учетом зазора S между проушинами (см. рис. 4.3). В выполненных конструкциях S = 3 мм. Силу, нагружающую проушины звеньев, находят из выражений для сторон:
охватываемой
(4.24)
Охватывающей
(4.25)
где P1…Рn – сила, нагружающая проушины охватываемой стороны звена гусеницы шириной соответственно b1…bn; P1’… Pn’ – сила, нагружающая проушины охватывающей стороны звена гусеницы шириной соответственно b1’… bn’.
Соотношения получены при условии, что распределение усилия Р (рис. 4.3), приложенного к гусенице, между проушинами прямо пропорционально изгибной жесткости пальца в точках фактического приложения сил в проушинах.
Поверочный расчет проушин выполняют для наиболее нагруженной проушины. Для охватываемой и охватывающей сторон звена гусеницы напряжение растяжения в проушинах определяют из выражений:
(4.26)
σр = 22750/((2*0,026–0,022)*0,11) = 6893939 (Па) < [σ] р;
Давление в проушинах:
(4.27)
p = 22750/(0.11*0.022) = 9400826 (Па) < [p];
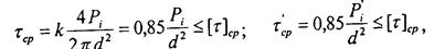
Поверочный расчет пальца гусеницы на срез выполняют для наиболее нагруженной средней проушины:
(4.28)
где k = 4/3 – коэффициент, учитывающий сложнонапряженное состояние пальца при совместном действии напряжений изгиба и среза.
τср = 0,85*22750/(0,022)² = 39953512 (Па) < [τ] ср;.
4.11 Распределении давлений гусеничных движителей на почву
