Прудовое рыбоводствоРефераты >> Ботаника и сельское хоз-во >> Прудовое рыбоводство
Посадку добавочных рыб рассчитывают по формуле:
где: Г — площадь пруда в гектарах;
П — рыбопродуктивность по карпу в кг/га;
п — повышение рыбопродуктивности от смешанной посадки других возрастных групп или других видов рыб в процентах;
В — средний вес добавочной рыбы к осени в кг
в — средний вес добавочной рыбы при посадке в кг
р — выход добавочной рыбы осенью в процентах.
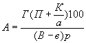
При выращивании товарного карпа с применением кормления расчет обычно производят по формуле:
где: А — количество годовиков карпа при посадке в нагульный водоем;
Г—площадь нагульного пруда в гектарах;
П — естественная рыбопродуктивность в кг/га;
К — общее количество искусственного корма в кг;
а — его кормовой коэффициент;
В — вес одного карпа к осени в кг;
в — вес в кг годовика карпа, сажаемого в пруд весной;
р—выход рыбы к осени в процентах от количества рыбы, посаженной весной.
3. Применение минеральных и органических удобрений в прудовом рыбоводстве
Удобрение прудов — применение минеральных и органических удобрений для увеличения естественной рыбопродуктивности прудов.
Удобрение нерестовых прудов
Для удобрения нерестовых прудов применяют из органических удобрений - навоз, свежий коровий кал; из минеральных — калийную соль, или сильвинит, суперфосфат и печную золу.
Первый способ Летом, осенью и даже ранней весной по осушенному дну пруда разбрасывают хорошо перепревший влажный навоз равномерным слоем в 3— 5 см. За 20—30 дней до залития пруда остатки неразложившегося навоза удаляют со дна пруда и хорошо прочесывают почву дна граблями.
Второй способ. У откоса плотины на линии, заливаемой водой, за 15—20 дней до залития пруда роют небольшую яму (примерно 0,5 -и2, глубиной 20—30 см), в которую закладывают перепревший навоз, перемешанный с небольшим количеством извести, засыпают яму дерновой землей и покрывают дерном. Из этой ямы через почву в воду пруда с момента залития его поступают органические удобрения и начинают обильно развиваться дафнии.
Третий способ. Через сутки после икрометания мелководные участки с глубинами от 0 до 25 м, не покрытые оплодотворенной икрой, после повышения горизонта воды, которое производится после нереста в целя ч создания лучших условий для развития икры, удобряют перепревшим навозом из расчета 1—1,5 кг/м2 удобряемой площади.
Жесткость воды должна быть не менее 12 нем. град. Если жесткость меньше, то в воду на притоке вносят известь-пушенку по 10 г/лг3 воды на каждый градус разности.
Пример. Жесткость воды в пруду 10°, следовательно, до нормы не хватает 2°. При средней глубине нерестового пруда 0,5 м всего извести надо внести на 1 л3 2x0,5x10=10 г.
На второй день после икрометания равномерно по всему пруду разливают болтушку из свежего коровьего кала из расчета 2 кг кала, разведенного в б л воды, на 10 м2 дна.
На третий день после икрометания равномерно по всей площади нерестового пруда по воде рассыпают минеральные удобрения: сильвинит, содержащий от 13 до 20% чистого калия (из расчета 15 кг калия К2О на 1 га), суперфосфат, содержащий 15—20% фосфорной кислоты (из расчета 20 кг фосфора Р2О5 на 1 га).
Калийные удобрения могут быть заменены не бывшей под дождем печной золой, в которой содержится чистый фосфор и калий. После выклева личинок карпа из икры (на седьмой день) на участки глубиной по 40 см вносят перепревший влажный навоз по норме 1 —1,5 кг на 1 м2 удобряемой площади. На восьмой день вносят болтушку, приготовленную по указанному выше способу и норме. Для разведения дафний и пересадки их в залитые нерестовые пруды приспосабливают один-два нерестовых пруда или какие-либо мелкие небольшие водоемы. Нерестовые пруды заливают за 15—20 дней до нереста на 50—60% площади и удобряют по указанному выше способу. После рассадки дафний нерестовые пруды осушают, в течение одного - двух дней проветривают и затем используют для нереста.
Фосфорные удобрения вносят по воде по норме одно ведро фосфорного удобрения на 20 ведер воды. Из расчета принятой нормы внесения удобрения и процентного содержания в нем фосфорной кислоты приготовленный раствор разбрызгивают с лодки в большом количестве в мелководной береговой зоне и в меньшем — на приглубых и сильно заиленных местах.
Пример. При внесении 15 кг фосфорной кислоты на 1 га удобряемой площади потребуется 17%-ного суперфосфата I5x100:17=88,23 кг/га.
Азотные удобрения. Внесение в пруды азотных удобрений в виде аммиачной селитры или сернокислого аммония может дать особенно хорошие результаты в прудах, где применялись фосфорные удобрения. Это удобрение, тщательно растворенное в воде, в количестве 20—25 кг/га разбрызгивают вручную или с помощью краскопульта по воде по всему пруду.
Кальциевые удобрения. Наличие извести в воде и почве благоприятно сказывается на химических процессах, происходящих в водной среде, на развитии растительных и животных организмов, в том числе и рыб (способствует развитию скелета). Под действием извести нерастворимые соли фосфора и калия переходят в растворимую форму, легко усвояемую низшими водорослями; питательные вещества, находящиеся в кислой среде почвы в нерастворимой, непригодной для питания растений форме, при внесении извести растворяются и растения могут использовать их для питания. Кроме того, известь является хорошим дезинфицирующим средством.
Внесение извести в количестве до 2 ц/га полезно для всех прудов, за исключением прудов, расположенных на почвах с известковой, меловой породой.
Качественная характеристика прудов
Расположены в заболоченной пойме с кислой почвой и водой (при pH солевой вытяжки из почвы менее 4 - 5, рН воды 5-6)
Тонко размолотую известь разбалтывают в воде (1 ведро извести на 20 — 30 ведер воды) в любой посуде (кадке, колоде, лодке). Раствор разливают или разбрызгивают из краскопульта по всему пруду, особенно на заиленных местах, в канавах осушительной сети, рыбосборных ямах, бочагах
Пруды, имеющие болотистый водосбор (норма повышается до) Расположены на подзолистых и слабозаболоченных почвах (при рН солевой вытяжки из почвы 5—6; рН воды 6—6,5)
В спущенных прудах заболоченные, закисшие участки посыпают слоем сухой негашеной известиВ старых прудах отдельные приглубые зоны, имеющие значительный слой тонкого ила, известкуют повышенной нормой извести для разрыхления ила и улучшения жизнедеятельности полезной микрофлоры
Сильно заиленные, но имеющие летом прозрачную воду с высокой окис ляемостью до 4.
Слабозаиленные, но непрерывно эксплуатируемые (больше 20 лет) до 3.
Слабозаиленные, расположенные на черноземных почвах до 1.
Известь (4 — 5 ц/га) может быть заменена гипсом (12—15 ц!га) или мергелем (16-20 ц\га)
Незаиленные, с черноземными почвами, с неразложившимся дерновым покровом, с водой, богатой кальцием 0,3-0,5
Спускные пруды, все мокрые места (верховья, заросшие осокой, канавы” бочаги, рыбосборные ямы, заболоченные закисшие участки) сильно заболоченные – 5, мало заболоченные - 2-3 на черноземных почвах 1—1,5
