Возраст спортивных достиженииРефераты >> Физкультура и спорт >> Возраст спортивных достижении
В настоящее время у защищающейся команды появилось больше возможностей для проведения эффективных ТТД. Это связано со снижением при судействе
требований к технике выполнения защитных действий. В связи с этим зрелищность волейбола намного возросла. Количество доигровок в играх сборных команд больше, чем в играх чемпионата России. Проведенные наблюдения показали, что сборные команды лучше организуют защитные действия, что свидетельствует о более высоком уровне мастерства игроков этих команд.
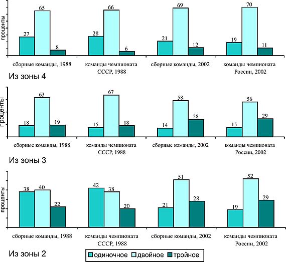
Важной составной частью защитных действий является блокирование . На рис. 2 представлена характеристика результативного блокирования на разных этапах развития волейбола. Результативное блокирование нападающих ударов из зоны 4 характерно тем, что здесь преимущество имеет двойное блокирование по сравнению с одиночным и тройным. По сравнению с 80-ми гг. в современном волейболе отмечается некоторое увеличение результативного тройного блокирования и уменьшение результативного одиночного блокирования атакующих ударов из зоны 4.
Иная картина результативного блокирования выявлена в зоне 3. В 80-е гг. удельный вес одиночного и двойного блокирования был примерно одинаковым (38-42%), значительно меньшей была доля тройного блокирования (20-22%). Данные наших исследований показали, что в современном волейболе увеличилась доля двойного блокирования и сократилась доля одиночного. При блокировании атак первым темпом центральному игроку часто помогают игроки зон 2 и 4, что раньше происходило значительно реже. Это стало возможным благодаря тому, что в настоящее время игроки передней линии при подготовке к блокированию группируются достаточно близко к зоне 3.
Результативное блокирование в зоне 2 так же, как и в зоне 4, характеризуется преобладанием двойного блокирования над остальными. Наши исследования показали, что в настоящее время увеличилась доля результативного тройного блокирования в зоне 2. Это связано с усложнением подач в современном волейболе и как следствие - с увеличением частоты выполнения приема, после которого мяч не доведен точно до связующего игрока. В этих случаях нападающие удары выполняются, как правило, из зоны 4 с высоких передач при противодействии группового блокирования.
Рис. 2. Характеристика результативного блокирования нападающих ударов из зон 2, 3 и 4
В современном волейболе усиливаются различия в структуре и содержании соревновательной деятельности волейболистов разного амплуа. На основании результатов нашего исследования целесообразно выделять следующие игровые амплуа: игрок атаки второго темпа (доигровщик ), игрок атаки второго темпа (диагональный ), игрок атаки первого темпа, связующий игрок, либеро (защитник) .
Нами проанализированы видеозаписи 18 игр ведущих сборных команд мира и 24 игр чемпионата России. Фиксировались ТТД и время их выполнения. В зависимости от интенсивности в ТТД были выделены две основные группы. В первую группу - с высокой интенсивностью - были включены силовая подача в прыжке, нападающий удар, блок и игра в защите. Во вторую группу - со средней интенсивностью - вошли прием мяча с подачи, страховка, различные перемещения. Все остальные ТТД были определены как малоинтенсивные.
Установлено, что общее количество ТТД (35-40) за партию у доигровщиков , диагональных и связующих игроков примерно одинаково (рис. 3). Различается соотношение ТТД средней и высокой интенсивности. У связующих игроков и доигровщиков отмечено преобладание действий средней интенсивности. У диагональных игроков удельный вес ТТД высокой интенсивности значительно больше - 20-22 за партию.
Иное соотношение ТТД у игроков первого темпа. Анализ соревновательной деятельности представителей данного амплуа выявил преобладание действий высокой интенсивности над действиями средней интенсивности более чем в 2 раза. Это связано с тем, что игроки первого темпа большую часть игрового времени проводят на передней линии, а на задней их меняет либеро. У либеро явно преобладают ТТД средней интенсивности. Различное содержание соревновательной деятельности у представителей различных игровых амплуа должно учитываться в тренировочном процессе высококвалифицированных волейболистов.
Рис. 3. Количество ТТД высокой и средней интенсивности за партию у волейболистов различных амплуа
Заключение . Для классического волейбола на современном этапе характерны следующие тенденции, которые необходимо учитывать при планировании и проведении соревновательно-тренировочной деятельности высококвалифицированных волейболистов:
1) усложнение подачи, которая из технического элемента, обеспечивающего введение мяча в игру, превратилась в эффективное атакующее средство. Ведущие игроки мира имеют в своем арсенале 2-3 вида подач, которыми владеют в совершенстве. В настоящее время наибольшее распространение получили следующие виды подач: силовая подача в прыжке, планирующая силовая подача в прыжке, планирующая укороченная подача в прыжке, "накат" (укороченная подача);
2) ведущие команды мира используют диагонального игрока для приема силовой подачи (при максимальной степени риска) и игроков первого темпа для приема укороченной подачи. Сочетание различных видов подач предъявляет повышенные требования к физической и технической подготовленности игроков, участвующих в приеме;
3) усложнение подачи привело к увеличению доли атак в противодействии групповому блоку после плохого приема. Игроки, атакующие из зоны 2, из глубины площадки и особенно из зоны 4, вынуждены атаковать с высоких (не всегда удобных) вторых передач. ТТД ведущих команд мира в нападении после идеального и хорошего приема характеризуются равномерным использованием всех зон. Современный волейбол отличает увеличение доли атак из глубины площадки (зона 1 и зона 6);
4) изменения в правилах соревнований дают возможность командам более активно противостоять нападению соперника. Активизация защитных ТТД в современном волейболе сопровождается более частым использованием двойного и тройного блокирований. Введение игрового амплуа "либеро" также способствует более эффективной игре команд в защите;
5) классический волейбол на современном этапе своего развития характеризуется усилением различий в направленности соревновательной деятельности представителей различных игровых амплуа;
6) анализ соревновательной деятельности ведущих команд мира свидетельствует о возникновении потребности в универсально подготовленных высококвалифицированных волейболистах. Это особенно важно при подготовке резерва, когда принцип универсализации является ведущим.
Список литературы
1. Волейбол. Под ред. А.В. Беляева, М.В. Савина. - М.: ФОН, 2000. - 368 с.
2. Железняк Ю.Д., Ивойлов А.В. Волейбол. - М.: ФиС, 1991. - 238 с.
3. Мацудайра Я., Икеда Н., Сайто М. Волейбол: путь к победе. - М.: ФиС, 1983. - 104 с.
4. Клещев Ю.Н. Волейбол. - М.: СпортАкадемПресс, 2003. - 189 с.
