Новая автоматизированная система оптимизации рационов питания спортсменовРефераты >> Физкультура и спорт >> Новая автоматизированная система оптимизации рационов питания спортсменов
(4)
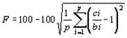
![]() |
(5)
Очевидно, что при полном совпадении С и В величина F достигает своего глобального максимума - 100%.
Можно показать, что экстремумы (5) и (4) достигаются при одних и тех же оптимальных решениях Х.
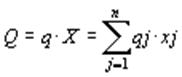
Наряду с показателем сбалансированности по химическому составу рациона, который должен быть максимизирован, в питании спортсменов определяющую роль играет энергетическая стоимость рациона - Q:
![]() |
(6)
где: qj - калорийность единицы массы j-го продукта, используемого в рационе.
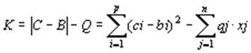
Тогда целевой функцией в задаче (1) - (6) должна выступать функция, которая относится к классу выпуклого квадратичного программирования [12]:
![]() |
(7)
где: К - показатель адекватности рациона спортсменов.
Аналогично при решении задачи (7) можно учесть необходимость минимизации стоимости рационов питания и другие факторы, имеющие значение для конкретного пользователя.
Литература
1. Базара М., Шетти К. Нелинейное программирование. Теория и алгоритмы.- М.: Мир, 1982.
2. Викторов А.П., Передерий В.Г. Щербак А.В. Взаимодействие лекарств и пищи.- Киев: Здоров'я, 1991.
3. Иванов А.В., Пшендин А.И., Рогозкин В.А. и др. Компьютеризованная анкета для оценки фактического питания лиц работоспособного возраста при повышении двигательной активности /Тез. докл. Всесоюзн. научно-практ. конф. "Культура двигательной активности, питания и закаливания".- М.: ВНИИФК, 1991, с. 43-44.
4. Коровников К.А., Лешик Я.Д. Питание и спортивная работоспособность. "Теор. и практ. физ. культ.", 1989, № 11, c. 9-12.
5. Методические рекомендации по организации обследования фактического питания отдельных групп населения анкетно-опросным методом с применением электронно-вычислительной техники /В.И. Смоляр, В.Я. Береза, А.Г. Кондратенко и др. Киев, 1979.
6. Рогозкин В.А., Пшендин А.И., Шишина Н.Н. Питание спортсменов.- М.: ФиС, 1989.
7. Смоляр В.И. Рациональное питание.- Киев: Наукова думка, 1991.
8. Химический состав пищевых продуктов /Под ред. И.М. Скурихина, В.А. Шатерникова. - М.: Легкая и пищевая промышленность, 1984.



