Адгезионное взаимодействие наночастиц
|
№ задачи |
`х /нм |
s/нм |
x1/нм |
x2/нм |
|
10 |
7.1 |
2.4 |
5.0 |
10.0 |
Решение
Вычислим аргументы z1 и z2 стандартной функции Гаусса, приняв m =`х = 7,1 нм и s = s = 2,4 нм:
z1 = (x1 – m)/s = (5,0 нм – 7,1 нм)/(2,4 нм) = -0,875;
z2 = (x2 – m)/s = (10,0 нм – 7,1 нм)/(2,4 нм) = 1,208;
По таблицам интегральной функции Лапласа найдем F(-0,875) =-Ф(0,875) =.F(1,208) = .
Искомая доля частиц:
F(1,208) - F(-0,875) =
Ответ: 1) 8,61 нм; 2) 0,77 нм; 3) 6,9%.
2. Вычислить силу адгезии наночастицы жидкости к плоской поверхности твёрдого материла, зная константу Гамакера А двух данных фаз, радиус частицы r и величину зазора h между частицей и поверхностью, указанные в следующей таблице (для своего номера задачи):
|
№ задачи: |
23 |
24 |
25 |
26 |
27 |
|
A·1021/Дж |
45 |
46 |
47 |
48 |
49 |
|
r/нм |
15 |
13 |
11 |
9 |
7 |
|
h/нм |
0,172 |
0,171 |
0,170 |
0,169 |
0,168 |
Решение
По теории Дронсона-Кендела-Робертса, сила F притяжения (адгезии) шарообразной частицы одной фазы и бесконечной по протяженности плоской поверхностью другой или той же фазы выражается формулой
,
где А – константа Гамакера для данной системы (константа дисперсионного взаимодействия молекул фаз), r – радиус частицы, h – расстояние между поверхностью сферической частицы и плоской поверхностью.
Имеем:
Ответ: 1,68 нН
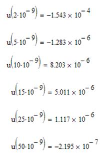
3. Рассчитать потенциальную энергию u взаимодействия двух плоскопараллельных пластин, находящихся в водном растворе электролита с концентрацией с, при значении потенциала диффузного слоя φs, относительной диэлектрической проницаемости εr и температуре t. При расчете принять константу Гамакера А* = 3.0·10–20 Дж. Вычисления сделать для расстояний между пластинами h: 2, 5, 10, 15, 25, 50 нм. Построить график зависимости u = f(h).
|
Задача |
Электролит |
c,ммоль/л |
t , °С |
εr |
φd, мВ |
|
42 |
KBr |
1,5 |
23 |
79,1 |
18 |
Решение
Потенциальная энергия взаимодействия двух бесконечно больших плоских пластин (в расчете на единицу площади):
.
Первый член отвечает энергии электростатического отталкивания, второй член – энергии притяжения из-за дисперсионных (межмолекулярных) взаимодействий.
A* – константа Гамакера, h – расстояние между поверхностями пластин, er – относительная диэлектрическая проницаемость среды между пластинами, e0 – электрическая постоянная (диэлектрическая проницаемость вакуума), p – число пи, jd – потенциал на границе диффузной части и плотной части двойного электрического слоя, величина θ (параметр Дебая) равна обратной величине толщины диффузного слоя d:
,
– ионная сила раствора,
F – постоянная Фарадея.
Рассчитаем ионную сила раствора 1,5 ммоль/л раствора KBr:
Рассчитаем величину толщины диффузного слоя d:
Параметр Дебая:
Потенциальная энергия взаимодействия двух бесконечно больших плоских пластин (в расчете на единицу площади):
.
Результаты расчета энергии (Дж/м2)
Строим график зависимости в программе MathCad.
4. Частицы аэросила SiO2 в водной среде при рН = 6,2 имеют дзета-потенциал – 30,7 мВ. На какое расстояние и к какому электроду сместятся частицы за 30 минут, если напряжение при электрофорезе 110 В, расстояние между электродами 25 см, относительная диэлектрическая проницаемость дисперсионной среды 80,16, вязкость среды 1.002 мПа с?
Решение
Скорость течения (линейная скорость электроосмоса) при заданной напряженности поля E:
.
где er – относительная диэлектрическая проницаемость среды, e0 – электрическая постоянная (диэлектрическая проницаемость вакуума), η – вязкость среды, ζ – электрокинетический потенциал.
Напряженность поля:
Скорость течения:
За 30 минут частицы сместятся на расстояние:
Так как частицы заряжены отрицательно, то они будут двигаться к аноду.
Ответ: 17 мм.
5. Средний квадратичный сдвиг наночастиц золя платины в воде за время 1 с составляет 3,5 мкм. Определить объем наночастицы, если вязкость среды 1,09·10–3 Па·с при 17 °C. Принять сферическую форму частиц.
