Адсорбция полимеров на неорганических носителях
В разбавленных растворах полимеров в плохих растворителях макромолекулы имеют свернутые формации (меньшие размеры) и адсорбируются в лучшей степени, чем из хороших растворителей. В концентрированных растворах помехой адсорбции является еще и взаимодействие полимер-полимер.
3. Влияние температуры. Однозначного ответа на данный вопрос в литературе нет. При рассмотрении влияния температуры следует вкупе учитывать особенности самой системы. В одних случаях при повышении адсорбции будет способствовать улучшению термодинамического качества растворителя, в других – к ухудшению. Так как качество растворителя неоднозначно влияет на адсорбцию, то и зависимость адсорбции от температуры будет сложной. Под действием температуры также меняет взаимодействие адсорбент-растворитель.
Установлено, что адсорбция полиэфира [8-9] и сополимера стирола с бутадиеном [10] с ростом температуры уменьшается. В то же время обнаружено, что адсорбция полиметакриловой кислоты на оксиде алюминия [11], синтетического каучука СКН-26 на оксиде железа [12], полиизопропилакрилата на кременеземе [13], эпоксидной смолы ЭД-6 на белой саже [14] с повышением температуры, наоборот, увеличивается из-за ухудшения термодинамического качества растворителя. В работах обращается внимание также на возможность изменения степени агрегации макромолекул с изменением температуры.
4. Влияние молекулярного веса. Скорость адсорбции молекул меньшего размера больше скорости адсорбции молекул большего размера, т.к. первая обуславливается диффузией. Поэтому из растворов сначала адсорбируются молекулы меньшего размера, которые потом вытесняются с поверхность большими молекулами. Но при большой прочности адсорбционных связей такое вытеснение может и не происходить. Также адсорбция больших молекул может быть затруднена на пористых адсорбентах (размер пор попросту может не совпадать с размером молекулы).
В работе [15] адсорбция катионного полиэлектролита сополимера стирола с диметиламинопропилмалеимидом разной молекулярной массы на отрицательно заряженной поверхности рассчитана по изменению заряда и потенциала поверхности методом капиллярной электрокинетики. Исследования показали, что структура адсорбционного слоя зависит от молекулярной массы полиэлектролита и его концентрации в объеме, а также от конформации макромолекул в растворе.
При адсорбции на непористых сорбентах между максимальной адсорбцией и молекулярным весом существует зависимость:
AS = KMα
где К и α – константы.
Уравнение позволяет оценить конформацию адсорбированной полимерной цепи. Коэффициент α уменьшается с ростом молекулярного веса полимера, что свидетельствует о смене конформаций на поверхности от свернутой к плоской.
1.2 Общая характеристика геллана
1.2.1 Химические свойства
Геллан был открыт сравнительно недавно, в 1977 году. Получают его путем ферментации, провоцируемой бактерией Sphingomonas elodea. При производстве толщина и твердость геля геллана варьируются с помощью изопропилового спирта. Природный геллан имеет 2 ацильных заместителя в глюкозном остатке. При повышенной температуре и в щелочной среде происходит деацелироване. Такой деацелированный геллан (часто в литературе просто «геллан») используется в пищевой промышленности как гелеобразующий агент и модификатор структуры [16].
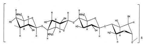
Молекулярная масса геллана составляет 70000 дальтон, при этом 95% от массы превышает 500000 дальтон. По химическому строению геллан является внеклеточным гетерополисахаридом. Повторяющееся звено в макромолекулярной структуре состоит из остатков 4 полисахаридов: 2х β-D-глюкоз, β-D-глюкуроновой кислоты и α-L-рамнозы [17]:
Рисунок 3 – Строение звена деацелированного геллана.
Между собой тетрасахаридные фрагменты соединены α 1→3 гликозидными связями. Примерный состав: 60 % глюкозных остатков, 20 % остатков от рамнозы и 20 % от глюкуроновой кислоты.
Карбоксильная группа в глюкуроновой кислоте проявляет все характерные реакции карбоновых кислот, но при несколько отличных условиях. Например, можно получить бензиловый эфир, если проводить реакцию с использованием тетрабутиламмониевого производного природного геллана в реакции взаимодействия с бензилбромидом в диметилсульфоксиде [18]:
![]() |
Сшитый геллан способен набухать в воде, но не растворяется полностью. Сшивающими агентами могут служить, например, ЭХГ, ЭДК. Ниже приведена реакция сшивания с ЭХГ:
Gel–OH + CH2–CH–CH2–Cl → Gel–O–CH2–CH(OH)–CH2–Cl + NaOH →
→ Gel–O–CH2–CH–CH2 + NaCl + H2O
+
Gel–OH
↓
Gel–O–CH2–CH(OH)–CH2–O–Gel
1.2.2 Гелеобразование геллана
При образовании геля геллана возникают упорядоченные области (блоки), состоящие из параллельных рядов [19-20]:
а
б
Рисунок 4 – Самосшитый геллан: а – связь двойных цепей в агрегаты, б – молекулярная модель гидрогеля (характеристики блока: длина 12,48 нм; ширина 4,05 нм; высота 8,46 нм).
Механизм гелеобразования геллана является предметом многих дискуссий. Тем не менее, есть схожее мнение, что при повышенной температуре происходит термообратимый конформациооный переход из одинарной структуры в двойную, более упорядоченную [21].

Рисунок 5 – Схематическое представление золь-гель перехода геллана в отсутствие и присутствии моновалентных катионов.
При высокой температуре макромолекулы геллана существуют в виде расплетенных единичных клубков (золь-I). При охлаждении цепи геллана ассоциируются с образованием двойной спирали и упорядоченной структуры. Однако такая упорядоченная структура еще не приводит к образованию сетки (золь-II). Гелеобразование имеет место только в присутствии катионов. Это связано с тем, что температура фазового золь-гель перехода становится ниже температуры конформационного перехода спираль-клубок. Однако для геллана, который проявляет два отдельных перехода (золь-I, золь-II и гель) не характерен термический гистерезис при охлаждении и нагревании . Разница между температурой перехода спираль-клубок и золь-гель уменьшается с увеличением концентрации добавленной соли. Водный раствор геллана переходит в гель при температуре 30-35°С [22], который плавится при 90 °С.

