Анализ почвы
0,408ммоль/100 г почвы
0,416 ммоль/100г почвы
ммоль/100 г почвы
0,404*0,03*100=1,212%
0,408*0,03*100=1,44%
0,416*0,03*100=1,248%
=1,301
Статистическая обработка данных.
S=![]()
=0,0031
Sr = 0,0031/0,409 = 0,006
С
∆С = (0,409
0,024)ммоль/100г почвы.
3.4 Общая щелочность
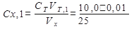
ОЩ1=
=1,662 ммоль/100г почвы
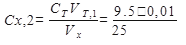
ОЩ2=
=1,764 ммоль/100г почвы
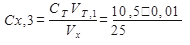
ОЩ3=
1,808ммоль/100г почвы
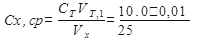
ОЩср=1,745 ммоль/100г почвы
=1,662*0,061*100=10,14%
=1,764*0,061*100=10,76%;
=1,808*0,061*100=11,03%;
=1,745*0,061*100=10,65%.
Статистическая обработка данных.
S=
0.06
Sr = 0,06/1,808 = 0,033
Т=
=0,14
С
∆С = (1,808
0,14) ммоль/100г почвы.
3.5 Валовое содержание железа
1. Таблица полученных результатов:
|
№п/п |
Навеска почвы, г |
Объем аликвоты, мл |
Объем титранта, мл |
|
1 |
20 |
25 |
12,0 |
|
2 |
11,5 | ||
|
3 |
12,0 | ||
|
ср |
11,8 |
=0,0040н
=0,0038н
=0,0042н
=0,004н
С учетом разбавления:
С1 = 0,0080 моль/л
С2 = 0,0076 моль/л
С3= 0,0084 моль/л
Сср = 0,0080 моль/л.
mFe3+ = 0,0080·56·0,1 = 0,0448 г.
ω, %=
=0,224%
2. Статистическая обработка данных.
S=
=0,002
Sr = 0,002/0,0080 = 0,25
Т=
=0,004
С
∆С = (0,0080
0,004)моль/л.
3.6 Определение кальция и магния при совместном присутствии
1. Определение суммы кальция и магния
СТ = 0,1 моль-экв/л
Vал = 10 мл
|
№ опыта |
Vт, мл |
С∑ моль экв/л |
|
1 |
2,05 |
0,0205 |
|
2 |
2,10 |
0,0210 |
|
3 |
1,95 |
0,0195 |
|
ср |
2,03 |
0,0203 |
Статистическая обработка результатов
S=
=0,00026
Sr = 0,00026/0,0203 = 0,0128
Т=
=0,00061
Ср ср±ΔC=(0,02030 ± 0,00061)ммоль экв/мл
m∑ = 0,056 + 0,0128 = 0,069
ω%=0,203%
2. Определение кальция
Vал = 10 мл
Ст = 0,1 моль экв/л
|
№ опыта |
Vт, мл |
СCa2+ моль экв/л |
|
1 |
1,38 |
0,0138 |
|
2 |
1,36 |
0,0136 |
|
3 |
1,32 |
0,0132 |
|
ср |
1,36 |
0,0136 |
Статистическая обработка результатов
S=
=0,0015
Sr = 0,0015/0,0136 = 0,11
Т=
=0,0037
Ср ср ± ΔC = (0,0136 ± 0,0037)ммоль экв/мл
ω%=mCa/ mн
mCa = 0.0136·40·0.1 = 0,0544 г
ω%=0,19%
3.Определение магния
Vал = 10 мл
Ст = 0,1 моль экв/л
|
№ опыта |
Vт, мл |
СMg2+ моль экв/л |
|
1 |
0,71 |
0,0071 |
|
2 |
0,73 |
0,0073 |
|
3 |
0,74 |
0,0074 |
|
ср |
0,72 |
0,0072 |
