Анализ технологического процесса схемы переэтерификации диметилового эфира цианоэтилфосфоновой кислоты моноэтиленгликоль (мет) акрилатом
2. Концептуальное описание схемы переэтерификации диметилового эфира β-цианоэтилфосфоновой кислоты моноэтиленгликоль(мет)акрилатом
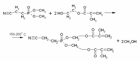
В колбу Кляйзена, снабженную водяным холодильником, помещают диметилового эфира β-цианоэтилфосфоновой кислоты. Добавляют моноэтиленгликольметакрилат (МЭГ), а также около 1 % гидрохинона для ингибирования реакции полимеризации МЭГа. Нагревают силиконовую баню до ~150°С и выдерживают эту температуру в течение 5-6 часов.
По мере протекания реакции переэтерификации, проходя через водяной холодильник, конденсируются пары метанола, который собирается в приемник.
В качестве побочной может выступать реакция самопроизвольной полимеризации МЭГ при повышенных температурах:
3. Конструктивно-функциональный анализ лабораторного реактора для проведения переэтерификации диметилового эфира β-цианоэтилфосфоновой кислоты моноэтиленгликоль(мет)акрилатом
Рис.1 Лабораторный реактор для проведения переэтерификации диметилового эфира β-цианоэтилфосфоновой кислоты моноэтиленгликоль(мет)акрилатом
КФА выполняется в 3 стадии:
· Вначале выбранный для анализа технический объект декомпозируется на отдельные элементы, в зависимости от потребности задачи и с учетом системных свойств объекта;
· На второй стадии для каждого элемента формулируется одна или несколько функций, также в зависимости от проектной ситуации;
· На третьей стадии результаты анализа для наглядного представления изображаются графически.
Таблица 4 КФА лабораторного реактора для проведения переэтерификации
|
Элемент ТО |
Функция элемента | ||
|
Обозн. |
Наименование |
Обозначение |
Описание (D,G,H) |
|
Е0 |
Колба Кляйзена |
Ф00 |
Создает объем для проведения химического взаимодействия |
|
Ф01 |
Передает тепло от теплоносителя к реакционной массе | ||
|
Ф02 |
Передает воздействие массы емкости с реакционной смесью V1 на стол | ||
|
Е1 |
Водяной холодильник |
Ф11 |
Создает пространство для циркуляции теплоносителя (воды) |
|
Ф12 |
Предотвращает “унос” реакционной массы из реактора | ||
|
Е2 |
Горло для ввода сырья |
Ф21 |
Подводит реакционную массу из окружающей среды в реактор |
|
Е3 |
Горло для вывода реакционной массы |
Ф31 |
Выводит реакционную массу в приемник |
|
Е4 |
Горло реактора для установки холодильника |
Ф41 |
Служит “соединительным звеном” реактора и холодильника |
|
Е5 |
Электроплитка |
Ф51 |
Создает пространство для установки нагревательной бани |
|
Ф52 |
Передает тепло от электроплитки к нагревательной бане | ||
|
Е6 |
Нагревательная баня |
Ф61 |
Создает пространство для лабораторного реактора |
|
Ф62 |
Передает тепло от нагревательного устройства к реактору | ||
|
Ф63 |
Равномерное распределение тепла, передаваемого к реактору | ||
|
Е7 |
Патрубок для входа теплоносителя (воды) |
Ф71 |
Подводит теплоноситель из окр. среды к холодильнику (Е1) |
|
Ф72 |
Рассредоточивает теплоноситель (воду) в холодильнике (Е1) | ||
|
Е8 |
Патрубок для выхода теплоносителя (воды) |
Ф81 |
Отводит теплоноситель из холодильника во внешнюю среду |
|
Ф82 |
Сосредотачивает теплоноситель (воздух) холодильника | ||
|
W1 |
Реакционная масса |
Фv01 |
Занимает полезный объем реактора (Е0) |
|
W2 |
Теплоноситель среды (вода) |
Фv02 |
Принимает тепло от холодильника |
|
Фv12 |
Переносит тепло из холодильника в окружающую среду | ||
Изобразим КФС лабораторного реактора для проведения переэтерификации диметилового эфира β-цианоэтилфосфоновой кислоты моноэтиленгликоль(мет)акрилатом:
Рис.2 КФС лабораторного реактора для переэтерификации диметилового эфира β-цианоэтилфосфоновой кислоты моноэтиленгликоль(мет)акрилатом
Таблица 5 Экспертная оценка недостатков элементов ТО
|
Обозначение элемента ТО |
Обозначение функции элемента |
Экспертная оценка элементов | |
|
Недостатки элемента |
Оценка | ||
|
Е0 |
Ф00 |
10 | |
|
Е1 |
Ф11 |
Неравномерность циркуляции теплоносителя |
9 |
|
Е2 |
Ф21 |
10 | |
|
Е3 |
Ф31 |
10 | |
|
Е4 |
Ф41 |
Возможная негерметичность соед-й реактора и холодильника |
8 |
|
Е5 |
Ф52 |
Возможность перегрева реактора |
8 |
|
Е6 |
Ф63 |
_ |
10 |
|
Е7 |
Ф71 |
_ |
10 |
|
Е8 |
Ф81 |
_ |
10 |
