Бензимидазол, его производные, их свойства и синтез трихлорбензимидазола
Содержание
1. Введение
1.1. Свойства бензимидазолов
1.2. Практическое применение
1.3. Методика синтеза
2. Литературный обзор. Бензимидазол, его производные, их синтезы и свойства
3. Выводы
Список литературы
1. Введение
1.1. Свойства бензимидазолов
Бензимидазол, мол. м. 118; бесцветные кристаллы, т. пл. 172°С; растворим в воде, спиртах, разбавленных кислотах и щелочах, трудно растворим – в неполярных растворителях. Молекулы ассоциированы благодаря водородной связи — NH .NH=. Положения 4 и 7, а также 5 и 6 равноценны вследствие равновесия между таутомерами I и II:
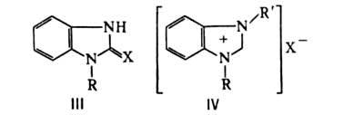
С ионами некоторых металлов (Ag, Co, Си и др.) бензимидазол образует в аммиачном р-ре соли. Бензимидазол устойчив к действию окислителей, но СrO3 в 80%-ной H2SO4 при 80°С окисляет его до имидазол-4,5-дикарбоновой к-ты. Сплавление с S превращает бензимидазол в бензимидазол-2-тион, 1-алкилбензимидазолы - в его 1-алкилзамещенные (формула III, X = S, R = А1К). Б. алкилируется алкилгалогенидами и диалкилсульфатами в присут. щелочей в положение 1. При алкилировании N-алкилбензимидазолов образуются соли 1,3-диалкилбензимидазолия (формула IV). Арилирование бензимидазола в положение 1 с помощью галогенаренов протекает обычно в жестких условиях. Действием ацилхлоридов и ангидридов кислот получают N-ацилпроизводные. Бензимидазол нитруется смесью HNO3 и H2SO4 в положение 5. При сульфировании образуется 5(6)-сульфокислота. Нуклеофильное замещение протекает в положении 2 лишь с N-производными Б. При нагревании с NaNH2 в диметиланилине образуются 2-аминопроизводные Б., при сплавлении с КОН-бензимидазолоны (ф-ла III, X = О). Металлирование (например, фенилнатрием) идет в положение 2.
При взаимодействии o-фенилендиамина с НСООН образуются бензимидазол, с RCOOH в присутствии НС1-2-алкилбензимидазолы, с АrСНО и ацетатом Сu(1)-2-арилбензимидазолы (реакция Вайденхагена). Сам бензимидазол не находит промышленного применения, однако его производные являются лекарственными средствами (например, дибазол), фунгицидами (например, беномил) и др.
1.2. Практическое применение
Гастроэнтерология – одна из наиболее динамично развивающихся областей медицины. Прогресс молекулярной патологиии и физиологии, стремительное развитие медицинской генетики, технологии диагностики и лечения, немыслимые без компьютерного обеспечения, о которых ранее можно было только мечтать, позволили выделить новые нозологические формы болезней органов пищеварения, уточнить патогенез гастроэнтерологических страданий, поднять на современный уровень диагностику и пересмотреть многие лечебные алгоритмы. Возможности терапевтического и хирургического лечения ряда заболеваний, приобретенные за последние десятилетия ушедшего века, чрезвычайно раширились, а их результаты впечатляют.
В свете этих достижений перспектива развития гастроэнтерологии на ближайшие 5–15 лет, представляется достаточно ясной.
Производные бензимидазола – ингибиторы протонной помпы париетальных клеток (омепразол, лансопразол, эзомепразол, пантопразол и рабепразол) – самый мощный класс антисекреторных препаратов, революционизировавших терапию гастро-эзофагеальной рефлюксной болезни, язвенной болезни двенадцатиперстной кишки и желудка, синдрома Золлингера–Эллисона. Бензимидазолы необратимо связываются с Н+–К+-АТФазой париетальных клеток (образуя ковалентную связь с сульфгидрильными группами энзима), и для восстановления секреции требуется синтез протонных помп de novo, что и определяет продолжительность антисекреторного эффекта. Бензимидазолы развивают свой антисекреторный эффект, достигая париэтальных клеток через кровоток и трансформируясь из неактивной формы в активную для связи с Н+–К+-АТФазой. Наиболее перспективным препаратом из этой группы является рабепразол, благодаря своей способности быстро трансформироваться в активную форму и насыщать все связи АТФазы.
В качестве средств, повышающих тонус и двигательную активность ЖКТ, перспективно применение агонистов серотониновых 5-НТ4-рецепторов. Препараты этой группы повышают тонус нижнего пищеводного сфинктера, предупреждая заброс содержимого желудка в пищевод, ускоряют опорожнение желудка и 12-перстной кишки, предупреждая стаз и дуодено-гастральный рефлюкс.
Принципиально новый класс лекарственных препаратов предварительно назван антагонистами кислотной помпы. Активно исследуются свойства производного имидазо-пиридина, которое за счет предотвращения переноса ионов К+ протонной помпой париетальных клеток обратимо ингибируют желудочную секрецию. Главное преимущество по сравнению с бензимидазолами – немедленное развитие эффекта, в связи с чем препарат может использоваться у больных при оказании им экстренной помощи и при необходимости скорейшего купирования симптоматики (например, язвенное кровотечении).
Разработанные препараты, непосредственно влияющие на финальный этап кислотной продукции – Н+,К+-АТФазу париетальных клеток, высоко эффективны, и механизм их действия практически не нуждается в совершенствовании. По мнению ряда экспертов, в ближайшие годы вряд ли удастся создать новые антисекреторные препараты, которые мБензимидазолы и пробензимидазолы как антгельминтики широко используются в ветеринарной медицине в связи с их незначительной токсичностью (их терапевтический индекс может быть равен 60, а у левамизола - 4). Производные бензимидазола эффективны в основном против нематод, и в меньшей степени против цестод и трематод. Они действуют как ингибиторы полимеризации тубулина, фиксируя бета-тубулин нематод или цестод. Помимо этого, считается, что механизм их действия связан с теми или иными нарушениями энергетического обмена, в частности, с разобщением цепочки окислительного фосфорилирования и с воздействием на фумаратредуктазу (Новик Т.С., Ястреб В.Б., 2000). Они также умерщвляют гельминтов, вызывая дезорганизацию большого количества скелетоформирующих клеток и клеток эпителия пищевода - у нематод (Ф.Бене, 1999). При неоднократном назначении бензимидазол и пробензимидазол активно действуют на цестод рода Taenia. В обычно применяемой терапевтической дозе они не производят никакого действия на ленточных червей рода Echinococcus и, как правило, не эффективны против Diрylidium caninum. Ларвицидное действие бензимидазола при аскаридозе (Toxocara canis или T. cati) основано на пенетрации препарата в ткани, что не поддается количественной оценке, и поэтому дозу препарата часто приходится завышать, по сравнению с рекомендуемой.
Что касается фенбендазола (новейший бензимидазол - содержится в таких препаратах, как каниквантел плюс, дирофен, панакур, празицид, фебтал), то его антгельминтное действие основано на ингибиции ферментной фумаратредуктазной системы паразитов, повреждении оболочки мышечной ткани и деполяризации нейромышечных ганглиев, что приводит к нарушению энергетического метаболизма, нервно-мышечной иннервации, параличу и в результате – к гибели гельминтов. Фенбендазол плохо всасывается в кишечнике, выводится в основном с фекалиями, в меньшей степени с мочой. Действие фенбендазола против нематод многократно усиливается в сочетании с пирантелом.
