Биоактивные производные хитозана
1 Вступление
1.1 Хитозан – природный полимер XXI века
Уникальные свойства хитина и хитозана привлекают внимание большого числа специалистов самых разных специальностей. Роль полимеров в нашей жизни является общепризнанной, и все области их применения в быту, промышленном производстве, науке, медицине, культуре трудно даже просто перечислить. Если до XX века человеком использовались полимеры природного происхождения – крахмал, целлюлоза (дерево, хлопок, лен), природные полиамиды (шелк), природные полимерные смолы на основе изопрена – каучук, гуттаперча, то развитие химии органического синтеза в XX веке привело к появлению в различных областях деятельности человека огромного разнообразия полимеров синтетического происхождения – пластмасс, синтетических волокон и т.п. Происшедший технологический прорыв не только кардинально изменил нашу жизнь, но и породил массу проблем, связанных с охраной здоровья человека и защитой окружающей среды.
Поэтому закономерным является большой интерес науки и промышленности к поиску и использованию полимеров природного происхождения, таких как хитин и хитозан. Эти полимеры обладают рядом интереснейших свойств, высокой биологической активностью и совместимостью с тканями человека, животных и растений, не загрязняют окружающую среду, поскольку полностью разрушаются ферментами микроорганизмов, могут широко применяться в проведении природоохранных мероприятий.
В настоящее время известно более 70 направлений использования хитина и хитозана в различных отраслях промышленности, наиболее важными из которых во всем мире признаны:
медицина – в качестве средства борьбы с ожирением, связывания и выведения из организма холестерина, профилактики и лечения сердечно-сосудистых заболеваний, производства хирургических нитей, искусственной кожи, лекарственных форм антисклеротического, антикоагулянтного и антиартрозного действия, диагностики и лечения злокачественных опухолей и язвы желудка;
пищевая промышленность – в качестве загустителя и структурообразователя для продуктов диетического питания.
1.2 История создания и применения хитозана
Полимеры этой группы заинтересовали ученых-химиков почти 200 лет назад. Хитин был открыт в 1811 году (H. Braconnot, A. Odier), а хитозан в 1859 году (С. Rouget), хотя свое нынешнее название получил в 1894 году (F. Hoppe-Seyler). В первой половине XX века к хитину и его производным был проявлен заслуженный интерес, в частности, к нему имели отношение три Нобелевских лауреата: Е. Fischer (1903) cинтезировал глюкозамин, P. Karrer (1929) провел деградацию хитина с помощью хитиназ и, наконец, W.N. Haworth (1939) установил абсолютную конфигурацию глюкозамина.
Биологически активные свойства хитина и его производного – хитозана - начали изучаться в 1940-50 годах. В Советском Союзе эти исследования проводились учреждениями Министерства обороны и имели закрытый характер. Последнее было связано со способностью хитозана эффективно связывать радиоактивные изотопы и тяжелые металлы, поэтому хитозан исследовался прежде всего как эффективный радиопротектор и детоксикант, а также исследовались возможности применения его для дезактивации объектов, подвергавшихся радиоактивному заражению.
Новый всплеск интереса к производным хитина и, в частности, хитозану произошел в 70-е годы, когда результаты исследований этих соединений начали появляться в открытой печати. Проведенные во всем мире исследования показали уникальные сорбционные свойства хитозана. Обнаружилось отсутствие выраженной субстратной специфичности этого вещества, что означает примерно одинаковую способность связывать как гидрофильные, так и гидрофобные соединения. Кроме того, у хитозана были обнаружены ионообменные, хелатообразующие и комплексообразующие свойства. В дальнейших исследованиях была показана антибактериальная, антивирусная и иммуностимулирующая активность. Комплексные формы хитозана также проявляют высокие антиоксидантные свойства, что нашло свое применение в лечении заболеваний желудочно-кишечного тракта, в лечении механической и ожоговой травмы.
О большом интересе к проблемам изучения этих биополимеров, технологии их получения и использования свидетельствуют восемь международных конференций по хитину и хитозану, проведенных за последние 27 лет: США (1977), Япония (1982), Италия (1985), Норвегия (1988), США (1991), Польша (1994), Франция (1997)
В России за прошедшие годы хитину и хитозану были посвящены семь конференций: Владивосток (1983), Мурманск (1987), Москва (1991, 1995, 1999 и 2001), Санкт-Петербург 2003, из которых две последних имели статус международных. Весной 2000 года было создано Российское Хитиновое Общество, объединившее более 50 региональных отделений.
Все это говорит о нарастающем интересе к хитину и хитозану не только химиков, но и специалистов самого разного профиля – медиков, биологов, микробиологов и биотехнологов.
1.3 Химическое строение и свойства хитина и хитозана
Хитин является главным компонентом панцирей ракообразных и насекомых. По химической структуре он относится к полисахаридам, мономером хитина является N-ацетил-1,4-β-D-глюкопиранозамин (рис. 1).
Рис. 1 Химическая структура хитина.
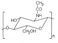
При деацетилировании хитина получается хитозан.По химической структуре хитозан является сополимером D-глюкозамина и N-ацетил-D-глюкозамина. В зависимости от эффективности реакции деацетилирования получаются хитозаны с различной степенью деацетилирования . Степень деацетилирования показывает процентное содержание D-глюкозамина в молекуле хитозана, т.е. если речь идет о хитозане со степенью деацетилирования 85%, то это означает, что в молекуле хитозана в среднем содержится 85% D- глюкозаминовых остатков и 15% N-ацетил-D-глюкозаминовых остатков.
Рис.2 Химическая структура хитозана.
Химические свойства хитозана связаны с его химической структурой. Большое количество свободных аминогрупп в молекуле хитозана определяет его свойство связывать ионы водорода и приобретать избыточный положительный заряд, поэтому хитозан является прекрасным катионитом. Кроме того, свободные аминогруппы определяют хелатообразующие и комплексообразующие свойства хитозана. Химическая структура хитозана показана на рис.2. Сказанноеобъясняетспособность хитозана связывать и прочно удерживать ионы металлов (в частности радиоактивных изотопов и токсичных элементов) за счет разнообразных химических и электростатических взаимодействий.
Большое количество водородных связей, которые способен образовать хитозан, определяют его способность связывать большое количество органических водорастворимых веществ, в том числе бактериальные токсины и токсины, образующиеся в толстом кишечнике в процессе пищеварения.
С другой стороны, обилие водородных связей между молекулами хитозана приводит к его плохой растворимости в воде, поскольку связи между молекулами хитозана более прочные, чем между молекулами хитозана и молекулами воды. Вместе с тем, хитозан набухает и растворяется в органических кислотах – уксусной, лимонной, щавелевой, янтарной, причем при набухании он способен прочно удерживать в своей структуре растворитель, а также растворенные и взвешенные в нем вещества Хитозан также способен связывать предельные углеводороды, жиры и жирорастворимые соединенияза счет гидрофобных взаимодействий и сетчатой структуры, что сближает его по сорбционным механизмам с циклодекстринами.
