Биогенные амины
В этом смысле особое значение приобретают диагносцирование, а также наблюдение за развитием опухолей нервной системы. Эти соединения применяют главным образом при феохромоцитомах, а также нейробластомах и ганглионевромах.
В 10 % случаев феохромоцитом наблюдается злокачественное перерождение опухоли. Кроме того, повышение уровня катехоламинов и их метаболитов метанефрина и норметанефрина можно наблюдать при карциноиде.
Так же к катехоламинам относятся другие нейромедиаторы, такие как мелатонин, адреналин, норадреналин, гистамин, серотонин и др.
Адреналин
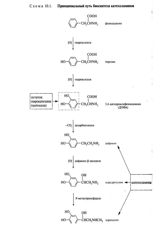
Адреналин (L-1(3,4-Диоксифенил)-2-метиламиноэтанол) — основной гормон мозгового вещества надпочечников. По химическому строению адреналин является катехоламином. Адреналин содержится в разных органах и тканях, в значительных количествах образуется в хромаффинной ткани, особенно в мозговом веществе надпочечников. Синоним: эпинефрин.
Физиологическая роль
Действие адреналина связано с влиянием на α- и β-адренорецепторы и во многом совпадает с эффектами возбуждения симпатических нервных волокон. Адреналин участвует в реализации реакций типа «бей или беги», его секреция резко повышается при стрессовых состояниях, пограничных ситуациях, ощущении опасности, при тревоге, страхе, при травмах, ожогах и шоковых состояниях. Он вызывает сужение сосудов органов брюшной полости, кожи и слизистых оболочек; в меньшей степени сужает сосуды скелетной мускулатуры. Артериальное давление под действием адреналина повышается. Однако прессорный эффект адреналина в связи с возбуждением β-адренорецепторов менее постоянен, чем эффект норадреналина. Изменения сердечной деятельности носят сложный характер: стимулируя адренорецепторы сердца, адреналин способствует значительному усилению и учащению сердечных сокращений; одновременно, однако, в связи с рефлекторными изменениями из-за повышения артериального давления происходит возбуждение центра блуждающих нервов, оказывающих на сердце тормозящее влияние; в результате этого сердечная деятельность может замедляться. Могут возникать аритмии сердца, особенно в условиях гипоксии.
Адреналин вызывает расслабление гладкой мускулатуры бронхов и кишечника, расширение зрачков (вследствие сокращения радиальных мышц радужной оболочки, имеющих адренергическую иннервацию).
Под влиянием адреналина происходит повышение содержания глюкозы в крови и усиление тканевого обмена. Адреналин усиливает глюконеогенез и гликогенолиз, тормозит синтез гликогена в печени и скелетных мышцах, усиливает захват и утилизацию глюкозы тканями, повышая активность гликолитических ферментов. Также адреналин усиливает липолиз (распад жиров) и тормозит синтез жиров. В высоких концентрациях адреналин усиливает катаболизм белков.
Имитируя эффекты стимуляции «трофических» симпатических нервных волокон, адреналин в умеренных концентрациях, не оказывающих чрезмерного катаболического воздействия, оказывает трофическое действие на миокард и скелетные мышцы. При продолжительном воздействии умеренных концентраций адреналина отмечается увеличение размеров (функциональная гипертрофия) миокарда и скелетных мышц. Предположительно этот эффект является одним из механизмов адаптации организма к длительному хроническому стрессу и повышенным физическим нагрузкам. Вместе с тем длительное воздействие высоких концентраций адреналина приводит к усиленному белковому катаболизму, уменьшению мышечной массы и силы, похуданию и истощению. Это объясняет исхудание и истощение при дистрессе (стрессе, превышающем адаптационные возможности организма).
Адреналин улучшает функциональную способность скелетных мышц (особенно при утомлении). Его действие сходно в этом отношении с эффектом возбуждения симпатических нервных волокон.
Адреналин оказывает стимулирующее воздействие на ЦНС, хотя и слабо проникает через гемато-энцефалический барьер. Он повышает уровень бодрствования, психическую энергию и активность, вызывает психическую мобилизацию, реакцию ориентировки и ощущение тревоги, беспокойства или напряжения, гегенируется при пограничных ситуациях.
Адреналин также оказывает выраженное противоаллергическое и противовоспалительное действие, тормозит высвобождение гистамина, серотонина, кининов и других медиаторов аллергии и воспаления из тучных клеток, понижает чувствительность тканей к этим веществам. Адреналин вызывает повышение числа лейкоцитов в крови, частично за счёт выхода лейкоцитов из депо в селезёнке, частично за счёт перераспределения форменных элементов крови при спазме сосудов, частично за счёт выхода не полностью зрелых лейкоцитов из костномозгового депо. Одним из физиологических механизмов ограничения воспалительных и аллергических реакций является повышение секреции адреналина мозговым слоем надпочечников, происходящее при многих острых инфекциях, воспалительных процессах, аллергических реакциях.
Также адреналин вызывает повышение числа и функциональной активности тромбоцитов, что, наряду со спазмом мелких капилляров, обуславливает гемостатическое (кровоостанавливающее) действие адреналина. Одним из физиологических механизмов, способствующих гемостазу, является повышение концентрации адреналина в крови при кровопотере.
Норадреналин
Норадреналин L-1-(3,4-Диоксифенил)-2-аминоэтанол. Второй после адреналина по количественным показателям секреции, но не менее важный по значению для организма гормон мозгового вещества надпочечников и нейромедиатор симпатических нервных окончаний и центральной нервной системы. Главным образом важна его роль именно как нейромедиатора. Синоним: норэпинефрин.
Общая информация
По химическому строению норадреналин отличается от адреналина отсутствием метильной группы у атома азота аминогруппы боковой цепи. Норадреналин является предшественником адреналина в синтезе его в хромаффинной ткани.
Действие норадреналина связано с преимущественным влиянием на α-адренорецепторы (а именно на α1-адренорецепторы). Норадреналин отличается от адреналина гораздо более сильным сосудосуживающим и прессорным действием, значительно меньшим стимулирующим влиянием на сокращения сердца, слабым действием на гладкую мускулатуру бронхов и кишечника, слабым влиянием на обмен веществ (отсутствием выраженного гипергликемического, липолитического и общего катаболического эффекта). Норадреналин в меньшей степени повышает потребность миокарда и других тканей в кислороде, чем адреналин.
Норадреналин принимает участие в регуляции артериального давления и периферического сосудистого сопротивления. Например, при переходе из лежачего положения в стоячее или сидячее уровень норадреналина в плазме крови в норме уже через минуту возрастает в несколько раз.
