Взаимодействие ПАВ с поверхностно-активными полимерами
За связывание ПАВ или мицеллообразование на полимерной цепи отвечают взаимодействия различной природы. Во многих отношениях эти взаимодействия аналогичны взаимодействиям, приводящим к мицеллообразованию в отсутствие полимера. Об этом свидетельствуют данные, полученные при исследовании влияния длины алкильной цепи ПАВ на взаимодействие с полимером, структуры и динамики мицелл и солюбилизации. Изменение свободной энергии системы при ассоциации в основном определяется гидрофобными взаимодействиями алкильных цепей с гидрофобными группами полимера. Но на это взаимодействие оказывает влияние, по крайней мере, один из двух следующих факторов.
Рис. 5. Модель «жемчужного ожерелья», описывающая ассоциацию ПАВ с полимером
Рис. 6. В присутствии полимера химический потенциал может уменьшаться, что приводит к мицеллообразованию при более низких концентрациях. Приведена зависимость химического потенциала м, деленного на кТ, от логарифма концентрации ПАВ. В присутствии полимера химический потенциал понижен, что индуцирует мицеллообразование на полимере при более низкой концентрации (ККА), чем в отсутствие полимера (ККМ)
В случае полимеров с протяженными гидрофобными участками или гидрофобными группами гидрофобные взаимодействия возникают между соответствующими участками полимера и гидрофобными «хвостами» молекул ПАВ. Такие взаимодействия особенно сильны для блок-сополимеров с гидрофобными и гидрофильными блоками и для привитых сополимеров, в которых гидрофобные группы привиты к гидрофильной основной цепи. Но и гомополимеры также могут иметь неполярные группы разной степени гидрофобное сильные, как в поли (стиролсульфонате), или слабые, как в поли (этиленгликоле). Полярность гидрофобных групп ПЭГ уменьшается с повышением температуры.
Электростатические взаимодействия, очевидно, существуют, если молекулы и полимера, и ПАВ заряжены. Если заряды противоположны по знаку, электростатические взаимодействия приводят к сильной ассоциации компонентов. Однако необходимо учитывать отталкивание между молекулами заряженного полимера, как и между заряженными молекулами поверхностно-активного вещества. Как уже обсуждалось ранее, в случае ионных ПАВ энтропийный проигрыш при самоассоциации ПАВ определяется повышенной концентрацией противо-ионов на поверхности агрегата по сравнению с их концентрацией в растворе. Такое изменение энтропии препятствует самоассоциации молекул и объясняет в том числе, почему KKM ионных ПАВ на порядок больше, чем KKM неионных ПАВ.
Молекулы полимера могут различным образом влиять на изменение энтропии в системе. Если молекулы полимера заряжены и несут такой же заряд, в системе просто будет проявляться умеренный электролитный эффект. Если заряд полимера противоположен по знаку, он действует как многовалентный электролит. Взаимодействие между компонентами усиливается, поскольку в результате ассоциации полимера с мицеллами ПАВ высвобождаются противоионы и полимера, и мицелл. Подобный эффект наблюдается и при взаимодействии двух противоположно заряженных полимеров. В таких случаях происходит уменьшение значений KKM на порядки.
Введение в растворы неионных веществ приводит к уменьшению KKM ионных ПАВ, как было показано на примере различных спиртов. Если молекулы этих веществ имеют слабо дифильный характер, они преимущественно локализуются на поверхности мицелл, приводя к уменьшению плотности заряда. В результате убыль энтропии при мицеллообразовании уменьшается. Этот механизм отвечает за умеренное понижение KKM ионных ПАВ, вызываемое поли (этиленгликолем) и некоторыми неионными полисахаридами.
Из приведенного обсуждения вытекает, что ионные ПАВ взаимодействуют с водорастворимыми полимерами самых разных типов. По крайней мере это справедливо для анионных ПАВ; сравнительно более слабое взаимодействие с полимерами катионных ПАВ объясняется более прочным связыванием мицеллами этих ПАВ противоионов. В то же время неионные ПАВ характеризуются слабой склонностного к взаимодействию с гидрофильными гомополимерами из-за отсутствия дополнительной стабилизации мицелл. Ранее указывалось, что неионные ПАВ ассоциируются с гомополимерами только в исключительных случаях. Ситуация коренным образом меняется в случае полимеров с гидрофобными участками, с которыми молекулы неионных ПАВ могут связываться за счет гидрофобных взаимодействий.
3. Сильная ассоциация ПАВ с поверхностно-активными полимерами
Модифицирование водорастворимых гомополимеров прививкой небольшого числа (обычно в реакцию вступает 1% мономерных звеньев) гидрофобных групп, например алкильных цепей, приводит к дифильным полимерным молекулам, склонным к самоассоциации за счет гидрофобных взаимодействий. Слабое агрегирование (рис. 7) макромолекул сопровождается увеличением вязкости и других реологических параметров. Этот эффект «ассоциирующих загустителей» используется при производстве красок и многих других промышленных продуктов для модифицирования их реологических свойств.
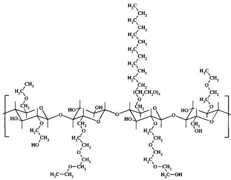
Вводимые в растворы полимеров ПАВ сильно взаимодействуют с гидрофобными группами полимера, что приводит к усилению ассоциации полимерных цепей и увеличению вязкости. В качестве примера на рис. 8 приведена структура гидрофобизированного неионного эфира целлюлозы. Введение додецил-сульфата натрия приводит к резкому увеличению вязкости гидрофобизированного эфира целлюлозы и практически не влияет на немодифицированный эфир целлюлозы (рис. 9). При большой концентрации ПАВ вязкостный эффект исчезает. Наблюдаемые эффекты лучше объясняются образованием смешанных мицелл между ПАВ и дифильным полимером. Для образования поперечных сшивок и, следовательно, проявления вязкостного эффекта необходимо, чтобы в мицеллообразовании принимало участие большое число гидрофобных групп полимера. При повышенных концентрациях ПАВ лишь одна гидрофобная группа полимера входит в состав смешанной мицеллы, что приводит к исчезновению эффекта «поперечных сшивок».
Рис. 7. Самоассоциация гидрофобизированных водорастворимых полимеров в присутствии ПАВ может усиливаться или, наоборот, снижаться в зависимости от стехиометрического соотношения компонентов
Повышение вязкости при добавлении ПАВ в растворы гидрофобизированных водорастворимых полимеров характерно для всех систем, но эффект сильно зависит от вклада электростатических взаимодействий. Как видно из рис. 10, добавки противоположно заряженных ПАВ к раствору гидрофобизированного полиэлектролита вызывают более сильный вязкостный эффект, чем неионные или одноименно заряженные ПАВ. Но и в последних случаях наблюдаются значительные эффекты, особенно если привитые гидрофобные цепи велики.
Рис. 8. Целлюлозу можно модифицировать относительно хаотичным введением гидроксиэтиль-ных и этильных групп с образованием этил(гидроксиэтил)целлюлозы (ЭГЭЦ). Для получения гидрофобизированной ЭГЭЦ вводят небольшое количество гидрофобных групп
