Витамин В1
Витамин В1 это тот витамин, которому человечество обязано открытием всех остальных витаминов. Во времена расцвета английских колоний в странах Юго-Восточной Азии у Английских колонизаторов развивалась не виданная ранее болезнь, течение которой не походило ни на одно ранее известное заболевание и часто вызывала смерть. Местные аборигены называли болезнь «бери-бери» и связывали непонятное явление с «гневом богов» посланным на ненавистных захватчиков. Как было замечено, «гневом богов» заболевали лишь англичане, в то время как на местных жителей «боги не гневались».
Только детально изучив положение дел, учёным удалось выяснить причину болезни. Как выяснилось, местные жители употребляли в пищу не ободранный рис, т.е. с кожурой, в то время как англичане в силу своей цивилизованности ели только ободранный рис. Чуть позже был открыт витамин В1. Так же открыли, что этот витамин содержится только в оболочках зёрен растений, в самих зёрнах его нет. В1 относиться к группе водорастворимых витаминов.
Водорастворимыевитамины: Водорастворимые витамины не растворяются в жирах и многих органических растворителях, но хорошо растворяются в воде, термолабильны, неустойчивы к изменениям рН, не могут депонироваться в тканях. Многие из них являются составными частями ферментов и непосредственными участниками большинства реакций обмена веществ во всех живых организмах.
Витамин B1 (тиамин) - первый витамин, открытый наукой. Изучение его связано с выяснением заболевания «бери-бери», распространенного в странах Юго-Восточной Азии.
Гипо - и авитаминозы. При недостатке или отсутствии в рационе витамина B1 развиваются гипо - и авитаминозы. Иногда их причиной может быть наличие в кормах папоротника орляка, содержащего фермент тиаминазу, которая гидролитически расщепляет витамин. К недостатку в рационе витамина B1 наиболее чувствительны птица, телята, ягнята, лошади, свиньи, собаки и пушные звери. Наступают нарушения деятельности нервной (парез и паралич), сердечнососудистой систем (стенокардия), пищевого канала (уменьшается секреция пищеварительных желез, атония, отсутствие аппетита), резко падает уровень продуктивности. У птицы на ранних стадиях авитаминоза возникают судороги мышц шеи, у свиней нарушается ритм работы сердечной мышцы. Развиваются Судороги, гипергликемия, ацидоз, в крови накапливается много пировиноградной кислоты, в поджелудочной железе дегенерируют островки Лангерганса, в надпочечниках - хромаффинная ткань, в различных участках нервной системы - нейроны. Развиваются кровоизлияния, парез, паралич, резкое истощение, и наступает смерть. В крови и тканях при этом накапливаются кетокислоты, что вызывает тяжелое нарушение, особенно в тканях с высокой интенсивностью обмена веществ (мозг, сердце). При недостатке витамина В1 тормозятся как процессы превращения пировиноградной кислоты в активированную уксусную кислоту, так и реакции цикла лимонной кислоты в целом.
Внешними признаками недостаточности являются параличи и полупараличи (полиневриты), судороги и другие нарушения. Особенно чувствительны к недостатку витамина В1 птицы (цыплята, индюшата и голуби). У больных птиц отмечается взъерошенность оперения, общая слабость, дегенерация скелетных мышц и мускульного желудка, запрокидывание головы и расстройства желудочно-кишечного тракта.
Свиньи реагируют на недостаток витамина потерей аппетита, общей слабостью, поносами, судорогами и нервными расстройствами. Затем появляются кровоизлияния в стенках желудка и кишечника, нарушается воспроизводительная способность и атрофия сердечной мышцы.
Витамин В1 широко распространен в различных кормах (зерна злаков, мука грубого помола и дерть, отруби, горох, рыбная мука, сухой обрат, молоко и молочная сыворотка). Очень высоким содержанием витамина В1 отличаются дрожжи, в которых тиамин находится в виде пирофосфорного эфира. Наибольшее количество витамина B1 в печени, почках, сердечной мышце и в мозгу.
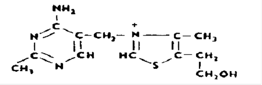
Химическое строение и свойства. Витамин В1 является производным двух соединений - тиазола (4-метил-5-оксиэтилтиазола) и пиримидина (2-метил-5-оксиметил-6-аминопиримидина).
В животных тканях и дрожжах витамин В1 находится не в свободном состоянии, а в виде тиаминпирофосфата, т. е. в виде пирофосфорного эфира:
Витамин В1 — белый кристаллический порошок горького вкуса, с характерным запахом, хорошо растворяется в воде, относительно устойчив в слабокислой среде, выдерживает сильное нагревание и воздействие кислорода. В щелочной среде, особенно при температуре выше 100° С, он быстро превращается в тиохром.
В природных кормах потери витамина В1 практически не имеют значения, но активность тиамина может снижаться при сушке (например, рыбной муки, сухого снятого молока).
Природные источники и потребность животных. Витамин В1 синтезируется тканями растений и микробами. В 1 кг корма содержится витамина В1 (мг):
Пивные дрожжи 68,6 Пекарские дрожжи 30,0 Трава (разнотравье, клевер, люцерна) 10,0 Зерно ячменя 3,1 Картофель 1,0
Потребность в витамине организм удовлетворяет за счет тиамина кормов и бактериального синтеза в пищевом канале. Тиамин в преджелудках жвачных (в основном в рубце) синтезируется бактериями вида Flavobaclerium vitarumen. Содержание витамина уменьшается по мере перехода от рубца к сычугу. Суточная потребность для свиней составляет 1-1,8 мг на 1 кг сухого вещества корма, для телят-8-15 мг на голову, для ягнят — 2—4 мг на голову.
Обмен в организме. Организм получает витамин с кормом и за счет синтеза микробами пищевого канала. Тиамин корма поступает в свободном, этерифицированном и частично в связанном виде. Две последние формы расщепляются в кишках под влиянием гидролаз с образованием свободного тиамина. С током крови после всасывания он поступает во все органы и ткани. Часть тиамина в печени фосфорилируется. Наибольшие концентрации витамина выявляются в миокарде, печени, мозгу, легких, почках и надпочечниках. Избыток тиамина и продукты его распада выделяются с мочой и частично с калом.
Значение для обмена веществ. Биологическое значение тиамина, прежде всего, обусловлено его коферментными функциями. Тиамин, который поступает в ткани с током крови, фосфорилируется под влиянием фермента тиаминпирофосфокиназы:
Mg2 +
тиамин + АТФ ———» тиаминпирофосфат + АМФ.
Тиаминпирофосфат составляет 70-90% всех фосфорных эфиров тиамина тканей, остальное количество составляют тиаминмонофосфат и тиаминтрифосфат. Тиаминпирофосфат - кофермент пируватдекарбоксила-зы, катализирующей окислительное декарбоксилирование пировиноград-ной и других а-кетокислот.
Одна из основных химических реакций, в которых участвует тиаминпирофосфат, - декарбоксилирование пировиноградной кислоты с образованием ацетил-коэнзим А. Если в кормах и организме нет тиамина, то фермент не синтезируется, в тканях накапливается пировино-градная кислота, возникает явление ацидоза, при котором разрушаются клетки, прежде всего нервной системы. Это приводит к ряду патологичес-ких нарушений, характерных для гипо - и авитаминозов В1. Кроме того, тиаминпирофосфат входит в состав свыше 30 ферментов, принадлежа-щих к различным классам. В частности, он входит в состав молекулы 2-оксоглутаратдегидрогеназы, катализирующей декарбоксилирование а-кетоглутаровой кислоты до янтарной. Является составной частью транскетолазы, осуществляющей перенос двууглеродного остатка (активного гликолевого альдегида) от ксилулозо-5-фосфата на рибозо-5-фосфат. Тиамин ускоряет реакцию дегидрирования янтарной кислоты, предохраняет витамин С от окисления, обеспечивает стабильность концентрации витамина В6 в тканях, способствует биосинтезу нуклеиновых кислот, белков, глюкозы, гликогена и жиров в тканях животного.
