Выдвижение гипотез о механизмах реакций
Набор кодов операций АБВГ представляет собой минимальную формулу превращений, которая и даст минимальный механизм. Для более полного набора механизмов можно еще разорвать связь С-Н в ацетилена и образовать 2 связи С-Н. Тогда и формула превращений будет сложнее и число комбинаторных вариантов больше. Имея формулу превращений, выбираем из библиотеки стадий трансформации, записанные в обобщенной форме (Приложение к разделу 4).
Код А
A1
A2
A3
A4Г1
В этой трансформации одновременно реализуются две операции – разрыв HCl (A) и образование С-Н (Г)
A5
(стадия без участия М)
Код Б
Б1В3
Б2Г3
Б3Г5
Б4
При выборе трансформаций важно проследить, чтобы при образовании каких-либо веществ (H+, Cl–,
и др.) были записаны и стадии, в которых эти вещества являются реагентами.
Код В
В1
В2
В4
Код Г
Г2
Г4
Из выбранных трансформаций, т.е. из полученных кодов набираем простым комбинаторным путем все возможные комбинации, обеспечивающие выбранную формулу превращений АБВГ.
А1В1Б2Г3 А2В1Б2Г3
А1В1Б3Г5 А2В1Б4Г5
А1В1Б4Г2 А2В1Б4Г2
А1В1Б4Г4 А3В1Б4Г4
А1В2Б2Г3 А2В2Б2Г3
А1В2Б3Г5 А2В2Б4Г5
А1В2Б4Г2 А2В2Б4Г2
А1В2Б4Г4 А3В2Б4Г4
А1В3Б1Г2 А2В3Б1Г1
А1В3Б1Г4 А2В3Б1Г4
А1В4Б2Г3 А2В4Б2Г3
А1В4Б3Г5 А2В4Б4Г5
А1В4Б4Г2 А2В4Б4Г2
А1В4Б4Г4 А3В4Б4Г4
и т. д.
Всего получается 60 наборов. Полученные наборы необходимо проанализировать, чтобы установить, имеют ли полученные комбинации химический смысл – имеется стыковка по интермедиатам, образуются целевые продукты, образуется исходная форма катализатора.
Рассмотрим 2 примера.
А1В1Б2Г3
А1
Б2Г3
В1
Механизм может быть интерпретирован, имеет химический смысл:
А3В1Б2Г3
А3
Б2Г3
В1
Механизм не имеет химического смысла, так как нет образования МН, нет расхода Н+, нет стыковки по интермедиатам.
Из 60 комбинаций только 10 механизмов имеют химический смысл, но это полный набор гипотез для выбранного набора трансформаций.
Рассмотрим примеры использования компьютерных программ для выдвижения гипотез о механизмах и их дискриминации в Лаборатории кинетики и катализа кафедры Химии и технологии основного органического синтеза МИТХТ им. М.В.Ломоносова.
Для выдвижения гипотез о механизмах синтеза акриловой кислоты по реакции
(6)
в растворах комплексов палладия использовали 11 трансформаций:
1.
2.
3.
4.
5.
6.
7.
8.
9.
10.
11.
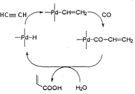
С помощью программы ChemNet получили реакционную сеть из 160 элементарных стадий, а программа MeChem “вырезала” из сети 35 механизмов синтеза акриловой кислоты (реакция 6), среди которых были все известные механизмы и ряд новых гипотез. Четыре гипотезы из наиболее интересных представлены ниже:
При изучении механизма реакции
использовали программу ChemComb. Было выбрано 20 ЭС из базы данных (библиотеки стадий) и получено 46 механизмов, которые разделились на 4 группы:
I. 6 механизмов с участием промежуточного этилена;
II. 22 механизма с промежуточной акриловой кислотой;
III. 8 механизмов с промежуточным малеиновым ангидридом;
IV. 10 механизмов с промежуточными металлоорганическими соединениями.
После дискриминации этих гипотез химическими методами, в результате, измерения кинетических изотопных эффектов и H/D-обменов осталось два механизма, для которых получены кинетические уравнения.
Общий вывод:
выдвижение гипотез любым методом, включая обобщение литературных данных, является необходимым этапом, позволяющим планировать весь комплекс дискриминирующих экспериментов, направленных на выбор адекватной кинетической модели. При получении реакционный сетей можно использовать их для “вырезания” наборов минимальных механизмов.
Приложение
Библиотека стадий
|
1. Образование С–Н
|
2. Разрыв С–Н
|
|
3. Образование С–С
|
4. Разрыв С–С
|
|
5. Образование С–Х (X – Hal)
|
6. Разрыв С–Х (X – Hal)
|
|
7. Образование О–Н
|
8. Разрыв О–Н
|
|
9. Образование H–X
|
10. Разрыв H–X
|
|
11. Образование С–О
|
12. Разрыв С–О
|
|
13. Образование Н–Н
|
14. Разрыв Н–Н
|
|
15. Образование О–О
|
16. Разрыв О–О
|
|
17. Образование С=С
|
18. Разрыв С=С ® С–С
|
|
19. Образование С=О
|
20. Разрыв С=О ® С–О
|
|
21. Разрыв СºС
|
22. Разрыв СºО
|
|
23. Разрыв О=О
|
