Димеризация, олигомеризация и полимеризация этилена под действием комплексов никеля, содержащих хелатные лиганды
ПОЛИМЕРИЗАЦИЯ
Распределение α-олефинов определяется соотношением скоростей Р-элиминирования и роста. Очевидно, что при малом значении (3-фактора в уравнении (4) получаются очень пологие кривые распределения
Таким образом, можно провести полимеризацию этилена с образованием линейного продукта с очень высокой ММ. Если протекает реакция передачи цепи, то появляются разветвленные продукты. Как видно из данных табл. 4, передача цепи протекает в случае образования продуктов с более высокой ММ.

Рис. 3. Сравнение селективности комплекса 6 (]) и 6/[А1(СН3)0]„ (2) в олигомеризации этилена; Ni: Al = 1 : 50,0°С, Рс н = 3 атм, 3 ч, молярное отношение С2Н4 : Ni = 3 х 104.
Впервые мы наблюдали образование высоколинейного кристаллического ПЭВП при суспендировании никелевых катализаторов в алканах [1, 12]. По данным ИК-спектроскопии, полученный ПЭ имел кристалличность около 70%. Средневесовая ММ составляла 105 - 106, температура плавления 130 - 140°С. Позднее мы установили, что ПЭ также образуется при добавлении R3P и при использовании комплекса, содержащего заместитель в цикле [3]. Как показано в табл. 5, добавление лигандов R3P к комплексу 1 может вызвать или прекращение реакции из-за блокировки координационных мест (R3P = PEt3) или образование ПЭ [R3P = (сс-нафтил)3Р].
В развитие наших работ Остойя-Старжевский получил катализатор полимеризации этилена при реакции комплекса 1 с СН2 = РМе3 [13]. Этому комплексу была приписана структура
Клабунде и сотр. фирмы "Du Pont" также сообщили о синтезе линейного ПЭВП под влиянием комплекса 1 [14]. По их данным, в том случае, когда четвертое координационное место в плоскоквадратном комплексе не занято Ph3P, происходит полимеризация этилена. Для удаления R3P были использованы различные акцепторы, например, Rh(AcAc)(C2H4)2. Производительность использованного катализатора составляла 20000 г ПЭ/г №. Интересно отметить, что комплекс 1 димеризуется в комплекс, когда четвертое положение свободно, что подтверждается данными рентгеноструктурного анализа
Интересно отметить, что Финк и Нестеров вносили Т|2-РлО хелатный комплекс 19 на модифицированные оксид кремния или оксид алюмщм в соответствии с реакцией (5) [16].
При введении водорода или добавлении гидр да магния были получены высокоактивные катализаторы олигомеризации этилена.
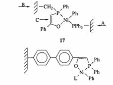
Мы также сделали попытку нанести комплексы типа 1 на органические или неорганические носители в соответствии со схемой, приведен™ ниже, используя закрепление через положения А и В в комплексе 17 [17]. С этими катализаторами мы получили в основном линейные олефины, время жизни катализаторов было невелико, вероятно, из-за покрытия активных центров образующимся полимером.
ВЛИЯНИЕ РАСТВОРИТЕЛЯ
Как указывалось выше, решающее влияние на процесс может оказывать растворитель. Много лет тому назад мы обнаружили, что комплексы типа 1 и 2 можно использовать в полярных растворителях. Так, нам удалось синтезировать ПЭ в водной среде. Клабунде утверждал, что его работа была начата с целью создания новых каталитических систем, стабильных к кислородсодержащим соединениям, что, по нашему мнению, представляет несомненный интерес.
Для коммерческой реализации SHOP-процесса решающую роль сыграла стабильность Ni-комплексов к полярным растворителям [1, 5, 18]. Олигомеризацию ос-олефинов можно было проводить в полярных растворителях, таких как многоатомные спирты или ацетонитрил, которые практически не смешиваются с а-олефинами, образующимися в ходе каталитической реакции. Находящиеся в другой фазе ос-олефины легко отделяются. Ниже приведена схема потоков этого двухфазного каталитического процесса.
Комплекс 1 растворяется в полярном растворителе, который не смешивается с образующимися а-олефинами. В сепараторе ос-олефины отделяются от катализатора 1, который может быть возвращен в рецикл. Насколько нам известно, указанный каталитический процесс представляет собой первый случай использования двухфазного катализа, нашедшего впоследствии широкое применение [19].
Компании "Gulf Research and Development", "Union Carbide Corporation", "Mobil Chemical" достигли больших успехов в применении двухфазных схем с использованием хелатных комплексов, содержащих лиганды Т|2-РлО.
Бич и Гаррисон из компании "Gulf Research and Development" запатентовали комплексы типа 20, которые ведут процесс в среде метанола [20]:
(R, - Rg = одинаковые или разные Н, алкилы С, .24, арилы С6 _20, алкенилы С2.30, циклоалкилы С3_40, аралкилы и алкарилы С6.40, галоген-, ОН-, алкокси группы; Z = Р, As, Sb). Например, илид Ni (R1 - R6 = Ph, R7 = S03Na, R8 = Ph; Z = E = P; Y = 0).
Мюррей из "Union Carbide" синтезировал целый набор лигандов типа 21 [21].
После реакции комплекса 21 с (COD)2Ni эти соединения дают катализаторы олигомеризации этилена в полярных растворителях.
И, наконец, Киссин из компании "Mobil" синтезировал комплекс 22, который также работает в среде полярного растворителя.
