Динамика полимерных цепей в процессах структурных и химических превращений макромолекул
Динамика полимерных цепей в растворе характеризуется совокупностью релаксационных процессов, связанных с движением (вращательным или поступательным) макромолекулы как целого или тех или иных участков полимерных цепей внутри макромолекул - боковых цепей, концов или срединных участков основной цепи. Движение коротких боковых цепей, несущих массивные группы, из-за стерических взаимодействий с основной цепью происходит при колебательном подстраивании основной цепи. Концы длинных боковых цепей, удаленные от основной полимерной цепи, могут участвовать во вращательных движениях независимо от основной цепи.
Внутримакромолекулярная подвижность, связанная тем или иным образом с движением основной цепи, представляет наибольший интерес при рассмотрении связи динамики макромолекул с их структурными превращениями.
Структурные превращения макромолекул происходят при образовании (разрыве) внутримакромолекулярных контактов, стабилизованных взаимодействиями различных типов — гидрофобными взаимодействиями неполярных групп в воде, водородными связями, электростатическими взаимодействиями, лиофобными взаимодействиями в органических растворителях и др. Если длительность контактов и времена релаксации рассматриваемых процессов оказываются соизмеримыми, обнаруживается высокая чувствительность времен релаксации к изменениям внутримакро-молекулярной структуры. Такими процессами являются наносекундные внутримолекулярные движения, происходящие с участием основной полимерной цепи. Эти релаксационные процессы изучаются в первую очередь при исследовании динамики макромолекул в процессах их химических и структурных превращений.
Для сопоставления релаксационных характеристик макромолекул полимеров различных классов необходимо изучать релаксационный процесс, связанный с движением определенным образом выделенного участка основной цепи. Выполнение этого требования существенно для корректности сопоставления времен релаксации разных структурных переходов в полимерах различного химического строения. Поэтому в настоящем сообщении рассматриваются данные, полученные для определенного релаксационного процесса, и не анализируются характеристики, относящиеся к движениям полимерных цепей, проявляющимся в различных релаксационных явлениях — в релаксации дипольной поляризации, в явлениях ЯМР, ЭПР, в поглощении УЗ-колебаний [1—4].
Для изучения определенного релаксационного процесса концевой (или срединный) участок полимерной цепи выделяется с помощью метки одинакового строения, ковалентно связанной с полимером. Значительная информация при решении различных проблем физики и химии полимеров может быть получена при использовании люминесцирующих меток на основе изучения поляризованной люминесценции растворов меченых полимеров. Исследование поляризованной люминесценции растворов меченых полимеров возможно при любом содержании полимера в растворе — при высоком (допускаемом растворимостью полимера) и очень низком (<0,001%). Развита теория поляризованной люминесценции растворов меченых полимеров и разработаны методы синтеза полимеров с ковалентно присоединенными люминесцирующими метками [5].
К настоящему времени синтезировано и исследовано большое число полимеров с люминесцирующими антраценсодержащими метками, связанными с полимером ковалентной связью в 9-положении антраценового ядра. Синтез полимеров с ковалентно присоединенными антраценсодержащими люминесцирующими метками описан в работе [5, гл. 3].
Стерические взаимодействия массивного антраценового ядра, расположенного в основной или в коротких боковых цепях, с группами основной цепи приводят к тому, что вращение антраценового ядра с примыкающей к нему группой вокруг связей, соединяющих его с основной цепью, происходит лишь при колебательном подстраивании последней. Благодаря этому движение антраценсодержащей метки отражает движение основной цепи, внутримолекулярную подвижность полимера. Вращение самого антраценового ядра вокруг прилегающей связи, соединяющей ядро с боковой или основной цепью в 9-положении, в поляризованной люминесценции не проявляется из-за совпадения оси вращения с направлением дипольного момента перехода, с которым связана люминесценция.
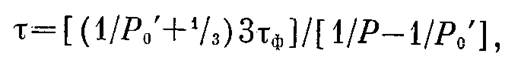
Для определения времен релаксации т, характеризующих внутримолекулярную подвижность полимера, разработан метод, основанный на изучении поляризации люминесценции раствора меченого люминесцирующего полимера — метод поляризованной люминесценции, подробно описанный в работах [5, 6]. Времена релаксации т, характеризующие внутримолекулярную подвижность полимера в растворе, определяются с помощью формулы
где Р — измеряемая поляризация люминесценции раствора меченого полимера; тф — длительность свечения; 1/Р0' — параметр, связанный с амплитудой высокочастотных движений метки или термодинамической гибкостью цепи, связывающей антраценовое ядро с полимером. Содержание люминесцирующих меток в полимере не должно превышать 0.2 мол. %. Для сопоставления времен релаксации т для полимеров в растворителях разной вязкости определяют значения хпр, приведенные к одному значению вязкости растворителя г)пр с помощью соотношения
Данные для релаксационных процессов, проявляющихся в поляризованной люминесценции полимеров с люминесцирующнми антраценсодержащими метками в растворе, рассмотрены в настоящем обзоре. Отметим, что в поляризованной люминесценции проявляются релаксационные процессы с временами, соизмеримыми с длительностью люминесценции или отличающимися от длительности свечения не более чем в 100 раз. Свечение антраценового ядра, связанного с полимером, происходит с нано-секундной длительностью тф 4—12 не, поэтому с помощью поляризованной люминесценции полимеров с антраценсодержащими метками изучаются релаксационные процессы с временами релаксации 107—10-10 с.
В работах [5, 6] было обнаружено, что времена релаксации нано-секундных релаксационных процессов изменяются заметным образом при различных структурных переходах в макромолекулах в растворе. Поэтому метод поляризованной люминесценции был использован для исследования динамики макромолекул полимеров различных классов при структурных переходах типа клубок — глобула [7], клубок — компактная структура [8, 9], клубок — α-спираль — компактная структура — глобула [10] и для изучения других структурных переходов. Было обнаружено также, что внутримакромолекулярная динамика чувствительна не только к структурным превращениям макромолекул в растворе, но и к изменениям внут-римакромолекулярных взаимодействий различных типов. На этой основе исследуется структурообразование в растворах полимеров — формирование внутримакромолекулярных структур и надмолекулярных образований.
Оказалось, что наносекундные релаксационные процессы в полимерных цепях играют важную роль в химических превращениях с участием функциональных групп полимера. Эти данные также представлены в настоящем обзоре.
Для изучения динамики полимерных цепей в процессах внутримакромолекулярных структурных превращений и ее роли в процессах химических превращений в полимерных цепях исследования необходимо проводить в условиях, исключающих формирование надмолекулярных структур или даже межцепных контактов, т. е. при низком содержании полимера в растворе (0,05—0,01%). Эту исключительную возможность — проводить изучение разбавленных растворов полимеров — предоставляет метод поляризованной люминесценции.
