Извлечение сурьмы в процессе производства полиэфирных смол
Данные особенности процесса и наличие значительного количества компонентов реакции, обуславливают требования к оформлению и контролю процесса. На современных производствах регулировка процессов обеспечивается системой автоматизации, которая включает в себя:
• автоматическое дозирование компонентов в широком диапазоне масс компонентов (от нескольких килограммов до нескольких тонн в один аппарат);
• поддержание температуры с точностью ±1°С от заданной;
• поддержание заданной скорости химической реакции;
• автоматический расчет момента перехода на вакуумную стадию процесса;
• хранение программ синтеза для различных марок смол.
Можно выделить еще ряд особенностей, отличающих современные производства от производств более раннего периода. Во-первых, необходимым фактором оптимизации процесса является использование энергосберегающих технологий. Во-вторых, время производственного цикла на современных заводах на 20-50% меньше, чем на заводах конца 20 века. Это означает более высокую производительность на том же оборудовании.
Более высокой производительности можно достичь, внеся некоторые изменения в производственный цикл. В частности, время загрузки сырья/выгрузки продукта можно сократить, увеличив размеры соответствующего оборудования и степень автоматизации.
Более сложной задачей модернизации является увеличение скорости переноса тепла и охлаждения, так как эти параметры зависят от конструкции реактора. Увеличить скорость переноса тепла в реакторе можно в частности улучшением конструкции мешалки, с достижением лучшего горизонтального и вертикального перемешивания.
Еще одним параметром, определяющим эффективность производства, является контроль за такими параметрами процесса, как вязкость продукта, кислотное и гидроксильное число. Большая часть заводов используют устаревший метод, заключающийся в отборе образца из реактора и тестировании его в лаборатории. Этот процесс занимает 15-30 минут, в течении которых химическая реакция продолжается и показатели продукта изменяются. Вмонтированные в реактор вискозиметры не решают этой проблемы. На современных реакторах для этих целей устанавливаются специальные измерительные системы, определяющие все эти параметры процесса в режиме настоящего времени.
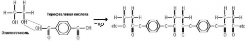
Простейший насыщенный полиэфир представляет собой продукт конденсации гликоля и терефталевой кислоты и используется в производстве полиэфирных пластиков, таких как волокно терилен.
Каждый элементарный акт поликонденсации в процессе образования смол вызывается реакцией этерификации, на которой основано получение сложных эфиров. В общем виде реакцию получения полиэфирных смол можно написать следующим образом:
Не следует забывать и о реакции полиэтерификации, так как сополиэфирные смолы являются производными более чем двух мономеров. Этерификацию и полиэтерификацию можно ускорить добавлением сиккативов на основе металлов.
Для промышленности представляют интерес три основных способа проведения поликонденсации: в расплаве, на поверхности раздела двух фаз и в растворе. Большинство полиэфирных смол получают поликонденсацией в расплаве. Линейные и разветвленные насыщенные полиэфирные смолы с низкой молекулярной массой получают в результате одностадийного процесса при повышенной температуре в атмосфере инертного газа для предотвращения побочных реакций деструкции, окисления. Для смещения равновесия в сторону образования поликонденсационной смолы (удаления побочного продукта), кроме нагревания, применяется пониженное давление.
Реакция этерификации происходит в атмосфере азота при температуре 180-260 ºС. Добавляются катализаторы (дибутил олово оксид, хлорид олова, бутил хлоротин дигидрооксид или тетрабутилоксититанат) и ингибиторы окисления (фосфористая кислота, тринонилфенилфосфит или трифенилфосфит). Вода, высвобождаемая во время реакции, удаляется с помощью дистилляции. Нужная степень этерификации достигается путем применения азеотропной или вакуумной дистилляции на последней стадии реакции.
Процесс контролируют по кислотному числу, которое показывает какое количество кислоты вступило в реакцию. В процессе реакции кислотное число уменьшается, вязкость увеличивается.
В результате реакции получается полиэфирная смола, которая растворяется в органических растворителях или в смеси органических растворителей. Полиэфирную смолу можно добавлять в растворитель сразу после синтеза, но часто растворитель добавляют уже во время производства лакокрасочного покрытия из экономических соображений.
Точные параметры процесса подбираются исходя из реагирующих веществ на основе которых получается та или иная смола.
Технологический процесс получения НПС может быть следующим. В реактор загружают гликоль и после его подогрева до 100°С — ангидриды. Иногда в реактор добавляют в количестве 10% от массы основных компонентов растворитель, образующий азеотропную смесь с выделяющейся при синтезе водой, что облегчает ее удаление (в этом случае способ получения НПС - в растворе). Процесс поликонденсации проводят при 170—200 °С и работающей мешалке в токе азота. Пары гликоля конденсируются в обратном холодильнике и конденсат стекает в реактор, а пары воды и азот отводятся через прямой холодильник. Водный конденсат собирается в сборнике. Контролируют процесс по кислотному числу. Готовый полиэфир после охлаждения до 70 °С сливают в смеситель, где растворяют в растворителе. Полученный раствор после охлаждения фильтруют и сливают в тару.
Глава 3 СПОСОБЫ ПРОИЗВОДСТВА ПЭТФ В ПРОМЫШЛЕННОСТИ
Полиэтилентерефталат - это пластик на основе смол, получаемых путем сложного химического процесса из нефти и газового конденсата. Исходным сырьем для производства полиэтилентерефталата различного назначения служат:
· моноэтиленгликоль (МЭГ) и очищенная терефталевая кислота (ОТФК), либо
· диметиловый эфир терефталевой кислоты (ДМТ)
Терефталевую кислоту и ДМТ в свою очередь производят из параксилола.
Сырьем для производства ПЭТФ обычно служит диметиловый эфир терефталевой кислоты с этиленгликолем. Получают полиэтилентерефталат поликонденсацией терефталевой кислоты (бесцветные кристаллы) или ее диметилового эфира с этиленгликолем (жидкость) по периодической или непрерывной схеме в две стадии. По технико-экономическим показателям преимущество имеет непрерывный процесс получения ПЭТ из кислоты и этиленгликоля. Этерификацию кислоты этиленгликолем (молярное соотношение компонентов от 1:1,2 до 1:1,5) проводят при 240-2700С и давлении 0,1-0,2МПа.
Обычно материал с более низкой молекулярной массой (М - 20 000) применяется для изготовления волокон; в других приложениях используется материал с более высокой молекулярной массой.
Полученную смесь бис-(2-гидроксиэтил)терефталата с его олигомерами подвергают поликонденсации в нескольких последовательно расположенных аппаратах, снабженных мешалками, при постепенном повышении температуры от 270 до 3000С и снижении разряжения от 6600 до 66 Па.
