Изучение процесса восстановления серебра в водных растворах
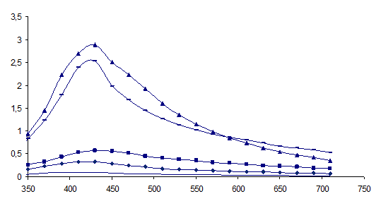
2.3.1 Изучение влияния концентрации AgNO3 на величину плазмонного пика
Приготовление растворов проводили в соответствии с методикой, указанной в п.2.2.1. Концентрацию растворов AgNO3 варьировали в интервале 0,0001М – 0,005М. Концентрация глюкозы была постоянна и равна 0,01М.
Полученные результаты представлены на рисунке 6.
Рисунок 3 - Спектры оптического поглощения исходного раствора глюкозы
Рисунок 4 - Спектры оптического поглощения гидрозоля серебра, полученного восстановлением AgNO3 глюкозой.
Рисунок 5 - Спектры оптического поглощения гидрозоля серебра, полученного восстановлением AgNO3 (■ – аскорбиновой кислотой, ♦ - боргидридом натрия,
▲ – таблеткой).
Рисунок 6 - Спектры оптического поглощения гидрозоля серебра, полученного восстановлением AgNO3 глюкозой(■ – С(AgNO3) = 0,0001М,
♦ - С(AgNO3) = 0,0005М, -- – С(AgNO3) = 0,001М;▲ – С(AgNO3) = 0,005М).
Цвет раствора в зависимости от концентрации изменяется от прозрачного и бледно-желтого до ярко-желтого и коричневого. С ростом исходной концентраций ионов серебра наблюдается увеличение максимума поглощения при 420нм, что возможно связано с увеличением количества образующихся наночастиц.
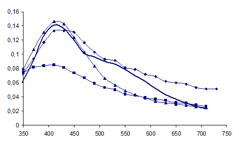
2.3.2 Изучение влияния рН на процесс восстановления серебра
Приготовление растворов проводили в соответствии с методикой, указанной в п.2.2.1. рН растворов перед СВЧ облучением варьировали в интервале 5 – 11. Концентрации глюкозы и нитрата серебра были постоянны и равны соответственно 0,001М и 0,0005М.
Результаты представлены на рисунке 7.
Рисунок 7 - Спектры оптического поглощения гидрозоля серебра, полученного восстановлением AgNO3 глюкозой(▲ – рН = 11,21; + - 10,24;
■ – рН = 8,34; ♦ - рН = 7,15; -- – рН = 5,16;).
Окраска полученных систем с увеличением значения рН изменялась от бледно-желтой (рН = 5,16) до темно-коричневой (рН = 11,21). Также следует отметить, что растворы с рН = 10,24 и рН – 11,21 являлись неустойчивыми: появлялась муть и практически сразу в осадок выпадало металлическое серебро.
Таким образом, из представленных графиков видно, что эффективное значение рН = 8,34, процесс восстановления идет более эффективно. Максимум поглощения наблюдается на длине волны λ = 420 нм. По литературным данным, это соответствует поглощению серебряных частиц размером несколько нанометров [4]. Быстрый рост поглощения в максимуме полосы свидетельствует о формировании в системе новых частиц серебра данного размера.
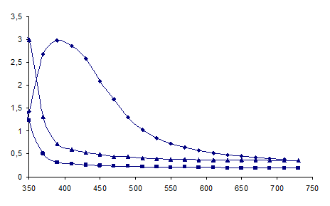
Рисунок 8 - Спектры оптического поглощения гидрозоля серебра, полученного восстановлением AgNO3 глюкозой (■ – С = 0,001М, ♦ - С = 0,005М, ▲ – С = 0,01М, + – С = 0,05М).
2.3.3 Исследование влияния концентрации восстановителя – глюкозы на свойства получаемых наночастиц серебра
Приготовление растворов проводили в соответствии с методикой, указанной в п.2.2.1. Концентрацию растворов глюкозы варьировали в интервале 0,001М – 0,05М. Концентрация нитрата серебра была постоянна и равна 0,005М.
Результаты представлены на рисунке 8.
Химическое восстановление является многофакторным процессом и зависит от подбора пары окислитель – восстановитель и их концентрации.
В работе проведено исследование влияния концентрации восстановителя – глюкозы на свойства получаемых наночастиц серебра. Прирост интенсивности в максимуме полосы поглощения при увеличении концентрации глюкозы, по-видимому, связан с повышением эффективности процесса восстановления Ag+.
ВЫВОДЫ
1. В ходе работы ознакомились с методами синтеза наночастиц серебра в водных растворах.
2. Провели синтез наночастиц серебра путем восстановления водного раствора нитрата серебра глюкозой. Определены оптимальные условия восстановления серебра: восстановитель – глюкоза; С(AgNO3) = 0,0001М; С(C6H12O6 ) = 0,05М; рН = 8,34.
СПИСОК ЛИТЕРАТУРЫ
1.Б.Г.Ершов Наночастицы металлов в водных растворах: электронные, оптические и каталитические свойства/Ершов Б.Г.//Журнал российского химического общества им. Д.И. Менделеева. – 2001. - Т. XLV, № 3.- С.5-9.
2. Meng Chen Preparation and Study of Polyacryamide-Stabilized Silver Nanoparticles through a One-Pot Process/ Meng Chen, Li-Ying Wang, Jian-Tao Han, Jun-Yan Zhang, Zhi-Yuan Li, Dong-Jin Qian//Department of Chemistry and Laboratory of AdVanced Materials, Fudan UniVersity. – 2006. – С.34-38.
3. Кузьмина Л.Н. Получение наночастиц серебра методом химического восстановления/Л.Н.Кузьмина, Н.С.Звиденцова, Л.В Колесников// Журнал Российского химического общества им. Д.И. Менделеева. – 2007. - Т. XХХ, № 8. – С.7 -12.
4. Сергеев Б.М Получение наночастиц серебра в водных растворах полиакриловой кислоты/ Б.М.Сергеев, М В. Кирюхин, А.Н.Прусов, В.Г Сергеев // Вестник Московского Университета. Серия 2. Химия – 1999. – Т.40, №2. – С. 129-133.
5. Lilia Coronato Courrol A simple method to synthesize silver nanoparticles by photo-reduction/ Lilia Coronato Courrol, Fl´avia Rodrigues de Oliveira Silva, La´ercio Gomes// EPUSP. – 2007. – Vol.18, №6. – Р.12 – 16.
6. Wanzhong Zhang Synthesis of silver nanoparticles—Effects of concerned parameters in water/oil microemulsion/Wanzhong Zhang, Xueliang Qiao, Jianguo Chen// State Key Laboratory of Material Processing and Die & Mould Technology. – 2007. – Р.17 – 21.
7. Вегера, А.В. Синтез и физико-химические свойства наночастиц серебра/
А.В. Вегера, А.Д. Зимон// Московский государственный университет технологии и управления. – 2006. - 5 – 12.
8. Степанов А.Л. Особенности синтеза металлических наночатиц в диэлектрике методом ионной имплантации/ А.Л.Степанов //Журнал Технического университета Аахена, Германия. – 2007. – С.2 – 7.
9. Комаров С.М. Камера – обскура для нанотехнолога/С.М.Комаров//Химия и жизнь. - 2007. – №3. – С.32 – 36.
10. Эрлих Г. Нанотехнологии как национальная идея/Г.Эрлих//Химия и жизнь. - 2008. - №3. – С.32 – 38.
11. Третьяков, Ю.Д. Неорганическая химия – основа новых материалов/Ю.Д.Третьяков//Химия и жизнь. – 2007. - №5. – С.4 – 11.
12. Paul Mulvaney Surface Chemistry of Coiioidai Silver in Aqueous Solution: Observations on Chemisorption and Reactivity/ Paul Mulvaney, Thomas Linnert, Arnim Henglein// The Journal of Physical Chemistry, Berlin. - 1991. - Vol. 95, № 20. – Р.36 – 36.
13. Шабанова, Н.А. Химия и технология нанодисперсных систем/ Н.А.Шабанова, В.В.Попов, П.Д.Саркизов. – М.:ИКЦ «Академкнига», 2007. – 309с.
