Ингибиторы и разобщители окислительного фосфорилирования
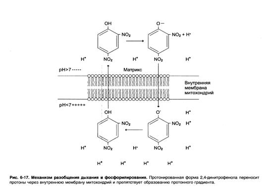
Вещества, которые функционально разделяют между собой окисление и фосфорилирование, называются разобщающими агентами. Они содействуют переносу протонов из межмембранного пространства в матрикс без участия АТФ-синтазы. Разобщение может возникать, например, в результате механического повреждения внутренней мембраны или действия таких веществ, как 2,4-динитрофенол (2), являющихся переносчиками протонов через мембрану. Природным разобщающим агентом является термогенин, протонный канал в митохондриях бурых жировых клеток. Бурый жир обнаружен у новорожденных и животных, впадающих в зимнюю спячку и служит для теплообразования. При охлаждении организма норадреналин активирует гормонзависимую липазу. Благодаря интенсивному липолизу в организме образуется большое количество свободных жирных кислот, которые распадаются в результате β-окисления и в дыхательной цепи. Так как жирные кислоты одновременно открывают протонный канал термогенина, их распад не зависит от наличия АДФ, т.е. протекает с максимальной скоростью и генерирует энергию в форме тепла.
Препараты, разобщающие окислительное фосфорилирование:
1. Мефенамовая кислота (Mefenamic acid)
2. Йодантипирин
3. Ацетилсалициловая кислота
4. Изопропил-N-3-хлорфенилкарбамат; хлор-ИФК; хлорпрофам; нексовал; превенол
5. Гидроксикислоты и их производные2,4-Дихлорфеноксиуксусная кислота; 2,4-Д; акваклин
6. Аватек (кокцидиостатик)
7. Гербициды
Механизм действия разобщителей
Разобщители окислительного фосфорилирования, являясь амфипатическими, повышают проницаемость мембраны для протонов, тем самым снижая электрохимический потенциал и выключая АТФ-синтазу по типу короткого замыкания.
Антибиотик Олигомицин полностью блокирует окисление и фосфорилирование в интактных митохондриях. Однако, если вместе с олигомицином добавить разобщитель динитрофенол, то окисление пойдет, но без фофорилирования. Это означает, что олигомицин не действует непосредственно на ыхательную цепь, а подавляет стадию фосфорилирования. Разобщители переносят протоны через внутреннюю митохондриальную мембрану. Перенос от НАДФ к О2 в присутствии таких разобщителей протекает нормально, но образования АТФ митохондриальной АТФ-азой не происходит, поскольку исчезает протонодвижущая сила, обуславливающая перенос протонов через внутреннюю мембрану митохондрий. Потеря дыхательного контроля приводит к тому, что поглощение О2 и окисление НАДФ повышается. В то же время ДНФ не оказывает влияния на субстратное фосфорилирование. В силу своего специфического действия на дыхательную цепь ДНФ и другие разобщители служат ценным инструментом при исследованиях обмена веществ.
Разобщение окислительного фосфорилирования может быть биологически полезным. Оно представляет собою способ генерирования тепла для поддержания температуры тела у зимнеспящих животных, у некоторых новорожденных животных и у млекопитающих, адаптированных к холоду. Для этого процесса термогенеза специализированная бурая жировая ткань, очень богатая митохондриями. В качестве разобщителей в ней выступают жирные кислоты, высвобождение которых в свою очередь регулируется норадреналином. Т.о., степень разобщения окислительного фосфорилирования в бурой жировой ткани находится под гормональным контролем. Митохондрии в этой ткани могут выполнять функцию генераторов АТФ или миниатюрных обогревателей.
Существует интересное сообщение о 38-летней женщине, которая была не в состоянии выполнять продолжительную физическую работу. Основной обмен у нее более чем вдвое превышал нормальный уровень, но функции щитовидной железы не была нарушена. Биопсия мышцы показала, что митохондрии в ней очень многообразны и атипичны по структуре. При биохимических исследованиях выяснилось, что эти митохондрии не подвержены дыхательному контролю. НАДФ в них окисляется независимо от присутствия АДФ, т.е. в них отсутствовало тесное сопряжение окисления и фосфорилирования. Отношение Р/О было ниже нормы. Т.о., у этой больной значительная часть энергии топливных молекул превращалась не в АТФ, а в тепло. Природа молекулярного дефекта в таких митохондриях пока не расшифрована.
Список литературы:
1. Лекции преподавателей кафедры биохимии СПХФА.
2. Биохимия. Учебник для ВУЗов. Северин Е.С.
3. Биохимия: учебник для вузов - Комов В. П., Шведова В.Н.
4. Учебник Биохимия Мерри, Греннер, Мейес.
5. Статьи В.П. Скулачева.
6. Биохимия Маршалл.
