Исследование морфологической структуры, физико-химических и химических характеристик беленой, сульфатной целлюлозы из древесины хвойной породы
При делигнификации как в условиях варки, так и отбелки, воздействию подвергаются не только лигнин, но и углеводная часть древесины. Реакции углеводов, главным образом деструкция полисахаридов, будут определять выход и качество получаемого волокнистого полуфабриката.[1]
1.2.1 Лигнин
Лигнин представляет собой ароматический полимер сетчатого строения. Основная структурная единица которого фенилпропановая единица С6-С3. В лигнине мономерные звенья соединены между собой эфирными и углерод углеродными связями.
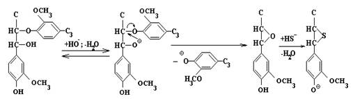
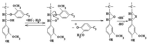
В настоящее время существует более или менее единый взгляд на роль сульфида натрия при сульфатной варке – он обеспечивает защиту лигнина от конденсации. Большинство ученых считают, что сера оказывает блокирующее действие. Следовательно, гидросульфид-ион, являющийся более сильным нуклеофилом по сравнению с гидроксид-ионом, обеспечивает более интенсивную деструкцию лигнина и его защиту от конденсации, причем сера химически связывается с лигнином. Ион гидросульфида играет роль сильного «внешнего» нуклеофила при сульфатной варке. Сульфатный варочный раствор вызывает деструкцию всех связей -О-4 в фенольных структурах лигнина независимо от направления реакции.
По первому направлению, идущему в меньшей степени через промежуточный оксиран (эпоксид), под воздействием гидросульфид-иона образуется группировка тиирана (эписульфида). По второму, главному, направлению к образовавшемуся хинонметиду присоединяется сильный «внешний» нуклеофил (:SH-) и тем самым защищает лигнин от конденсации, а также от конкурирующей с реакциями нуклеофильного замещения реакции элиминирования.
В результате образуется группировка тиола (меркаптана) в ионизированной форме (тиолят-анион). Тиолян-анион атакует -углеродный атом и вызывает деструкцию связи -О-4 с образованием, как и по первому направлению, группировки тиирана. В нефенольных структурах связи -О-4 расщепляются по такому же механизму, как и при натронной варке.
В этой реакции деструкция идет под действием более сильного основания, т.е гидроксид-иона, но затем группировка оксирана под действием гидросульфид-иона превращается в группировку тиирана.
При сульфатной варке в лигнине сначала образуются структуры, богатые серой, а затем значительная часть серы отщепляется в виде элементной серы и образуется сульфатный лигнин.
Кроме гетеролитических реакций при щелочных варках при температурах 160-180 єС могут протекать и свободнорадикальные процессы. В свое время предполагали, что радикалы образуются в результате гомолитического расщепления сетки лигнина, и их рекомбинации приводит к конденсации лигнина. Однако в настоящее время выдвинута теория образования свободных феноксильных радикалов под действием присутствующего в капиллярах древесины и варочном растворе кислорода воздуха, который в щелочной среде на начальной стадии варки при взаимодействии с компонентами древесины восстанавливается до таких активных форм, как супероксид-анион-радикал О2 и гидроксильный радикал НО., которые и являются инициаторами свободнорадикальных процессов. При этом сере, содержащийся в сульфиде и гидросульфиде натрия, отводится роль «ловушки» радикалов и антиоксиданта, препятствующего образованию феноксильных радикалов. Протекающие окислительно-восстановительные реакции приводят к изменению степени окисления серы.
Недостаток сульфатной варки – выделение дурнопахнущих сернистых соединений, образующихся из метоксильных групп лигнина под действием гидросульфида натрия при высокой температуре варки. Сначала получается метилмеркаптан (метантиол) легколетучий а затем из него также легколетучий диметилсульфид (тиоэфир) СН3SCH3. В результате окисления метилмеркаптана образуются менее летучие диметилдисульфид СН3SSCH3. Из диметилсульфида при окислении можно получить ценный растворитель – диметилсульфоксид (СН3)2SO. [1]
Недостатки сульфатной варки можно в определенной степени устранить, используя полисульфидные варочные растворы, которые готовят либо растворением серы в сульфатном варочном растворе, либо окислением содержащегося в нем Na2S. Полисульфид-ионы могут восстанавливаться до HS-, окисляя при этом или редуцирующие звенья углеводов, или лигнин. Выход целлюлозы повышается на 1,5-6%, в зависимости от достигаемой степени делигнификации.
1.2.2 Полисахариды
В щелочной среде при повышенных температурах полисахариды подвергаются реакциям деполимеризаци. Для обозначения процесса полимеризации полисахаридов в технологии варки целлюлозы используют термин «пилинг». Пилинг является причиной больших потерь целлюлозы, т.к. она не является самым устойчивым полисахаридом древесины. Потери гемицеллюлоз происходят и в результате их растворения в варочных растворах, чему способствует увеличение концентрации щелочи и снижение СП. Деполимеризацие с редуцирующего конца происходит до превращения концевого звена в щелочеустойчивое в результате процесса стабилизации («стопинг»).
1.Целлюлоза
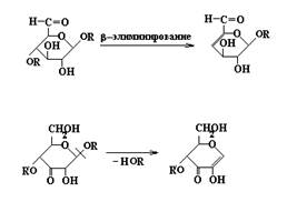
Подвергается деполимеризации в результате реакции b-элиминирования при температуре 80-100°С.
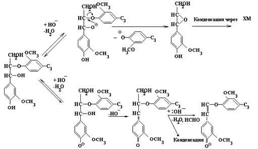
Таким образом редуцирующее концевое звено целлюлозы может участвовать в двух параллельных реакциях b-элиминирования. Одна реакция приводит к изменению этого звена, а другая к его отщеплению. В последнем случае образуется новое редуцирующее концевое звено, которое также может отщепляться. Направление, по которому будет происходить элиминирование, зависит от скорости отщепления гидроксильной и о-алкильной группы. Так как скорость отщепления последней значительно выше, чем первой, то успевает отщепиться 50-70 редуцирующих звеньев прежде чем редуцирующее концевое звено превратится в звено глюкаметасахариновой кислоты и процесс деполимеризации закончится.
При температурах выше 150°С начинает проявлятся щелочной гидролиз. Скорость гидролиза не велика, однако при этом образуется новое редуцирующее концевые звенья и процесс деполимеризации возобновляется. Значительно более легче чем гидролиз происходит окислительная деструкция макромолекул целлюлозы в результате реакции b-элиминирования.
Деполимеризация целлюлозы приводит к ее потерям, а деградация окислительная и гидролитическая снижает СП. В результате СП сульфатной целлюлозы несколько меньше чем у сульфитной.
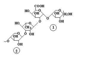
2.Гемицеллюлозы
Ксиланы оказались более устойчивые в условиях щелочной варки.
У хвойных кроме таких звеньев есть
Кроме того деполимеризации препятствует строение редуцирующего концевого звена макромолекулы ксилана
В щелочной среде отщепляется одно концевое звено при очень высоких температурах второе «разваливается», ксиланы более менее сохраняются при щелочных варках.
