Карбоновые кислоты. Уксусная кислота
Образование амидов и нитрилов кислот. При нагревании аммониевых солей карбоновых кислот образуются амиды кислот, представляющие собой производные кислот, в которых гидроксильная группа замещена на аминогруппу.
Восстановление кислот. При восстановлении кислот образуются соответствующий альдегид, который при дальнейшем восстановлении превращается в спирт:
Обычно восстанавливают на сами кислоты, а их хлорангидриды, ангидриды или сложные эфиры.
Уксусная (метанкарбоновая, этановая) кислота СН3-СООН.
В обычных условиях (18-20ºС) представляет собой бесцветную жидкость с резким запахом, кипящую при 118,5ºС. При температуре ниже +16,6ºС (температура плавления уксусной кислоты) безводная уксусная кислота затвердевает в виде кристаллов, похожих на лед; вследствие этого безводная уксусная кислота получила название ледяной уксусной кислоты.
Уксусная кислота имеет большое народнохозяйственное значение. Она широко применяется в самых различных отраслях промышленности и в быту. В химической промышленности уксусная кислота используется для получения винилацетата, ацетата целлюлозы, красителей и многих других веществ. В виде солей она применяется в текстильной промышленности в качестве протравных веществ, служащих для закрепления красителя на волокне. В пищевой промышленности уксусная кислота используется для консервирования продуктов; некоторые сложные эфиры уксусной кислоты применяются в кондитерском производстве и т.д.
Уксусная кислота легко растворяется в воде. В быту применяют 3-5%-ный раствор уксусной кислоты, известный под названием уксус.
Уксусная кислота была известна еще в глубокой древности. Ее получали в виде уксуса из прокисшего виноградного вина. В настоящее время основным промышленным способом получения уксусной кислоты является ее синтез из ацетальдегида.
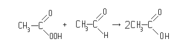
Реакция окисления ацетальдегида в уксусную кислоту протекает в несколько стадий. На первой стадии процесса происходит присоединение одной молекулы кислорода к молекуле ацетальдегида с образованием так называемой «надуксусной кислоты» (гидроперекиси ацетила):
надуксусная кислота
Далее надуксусная кислота взаимодействует с еще одной молекулой ацетальдегида, и в результате образуются две молекулы уксусной кислоты:
Надуксусная кислота очень нестойкое соединение, легко распадающееся на уксусную кислоту и кислород с выделением значительного количества тепла. Разложение больших количеств надуксусной кислоты может привести к взрыву. В связи с этим в процессе производства уксусной кислоты стремятся к тому, чтобы в системе не скапливалось большого количества надуксусной кислоты.
В промышленности процесс окисления ацетальдегида обычно проводят в жидкой среде (в среде уксусной кислоты) в присутствии катализатора – ацетата марганца. Наиболее удобным окислителем является кислород. Процесс проводится в колонне непрерывного действия, снабженной охлаждающими змеевиками. Ацетальдегид, содержащий растворенный катализатор, поступает вниз колонны, по высоте которой расположены четыре патрубка. Через патрубки поступает кислород. Процесс протекает при температуре 65-70ºС и давлении в нижней части колонны около 3 ат, а верхней части около 2 ат. Уксусная кислота из верхней части колонны поступает на ректификацию и очистку.
Для предупреждения взрыва надуксусной кислоты и образования взрывоопасных смесей кислорода с парами органических веществ в газовое пространство верхней части колонны непрерывно падает азот.
Перспективным методом получения уксусной кислоты является жидкофазное окисления бутана кислородом воздуха при 165-170ºС и давлении 50 ат:
Реакция протекает по значительно более сложной схеме, чем это изображено выше, причем в этом процессе происходит образование целого ряда побочных продуктов.
