Межмолекулярные взаимодействия
Но это условие не всегда выполняется: любая химическая реакция с образованием новых ковалентных связей служит типичным примером непригодности такого подхода.
Рассмотрим, например, образование воды из О2 и Н2. Ни один из реагентов, вступающих в реакцию, не имеет дипольного момента, в то время как продукт реакции обладает очень большим дипольным моментом.
Разделение и классификация вкладов различных взаимодействий является в некотором смысле персональным выбором. Водородную связь и комплексы с переносом заряда не имеет смысла рассматривать как отдельные виды взаимодействий. Водородную связь можно описать с помощью электростатического вклада UQ\Q, а перенос заряда в основном представляет собой индукционное взаимодействие, включенное в Сind. Безусловно, указанные четыре типа взаимодействий не независимы, но для большинства систем члены, характеризующие их взаимосвязь, малы и ими можно пренебречь.
Распределять суммарную энергию взаимодействия на отдельные вклады можно и для внутримолекулярных взаимодействий в больших молекулах, таких как белки или полимеры. В этом случае атомы или группы атомов, разделенные друг от друга более чем тремя или четырьмя связями, рассматривают как принадлежащие разным молекулам. Обычно из-за неявности данного приближения выделяют вклады связей, валентных углов и диэдральных углов. Некоторые виды внутримолекулярных движений относятся к почти классическим, например вращение вокруг связи, в то время как быстрые колебания связи являются строго квантовомеханическими. Эти силы невозможно точно описать. Учитывая задачи данного изложения, можно ограничиться оценочными классическими приближениями.
Электростатические взаимодействия
Для двух произвольно выбранных распределений заряда
и
энергия кулоновского взаимодействия описывается уравнением
Для двух точечных зарядов выражение приводится к виду
Обычно распределение заряда представляют мультипольным рядом, что позволяет рассматривать отдельно ион-ионные, ион-дипольные, диполь-дипольные и т.д. взаимодействия.
Молекулы, не обладающие сферической симметрией, характеризуются постоянными электрическими моментами.
Момент нулевого порядка - это полный заряд Qy а момент первого порядка - дипольный момент, являющийся векторной величиной:
Моменты более высоких порядков являются тензорными величинами. Электрические моменты различных молекул взаимодействуют между собой, не нарушая распределения зарядов.
Дипольные моменты молекул различаются очень сильно: дипольный момент м полярных молекул Н2О равен 1.85 Д; молекул Н33 - 1.47 Д, в то же время дипольные моменты молекул насыщенных углеводородов очень малы и проявляются только для определенных конформаций. Значения дипольных моментов некоторых небольших молекул приведены в табл.
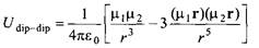
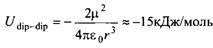
Рассмотрим снова взаимодействие между двумя молекулами воды. В данном случае достаточно учитывать только электростатические взаимодействия в форме диполь-дипольного потенциала:
который для коллинеарного параллельного расположения диполей описывается выражением
где м = 1.85 Д и
= 3 А. Для сравнения напомним, что квантово-механический расчет энергии взаимодействия для димера молекул воды дает величину около - 25 кДж/моль.
Постоянные дипольные моменты небольших молекул
|
Молекула |
Дипольный момент |
Молекула |
Дипольный момент |
|
H2O |
1.85 |
Гексанол |
1.7 |
|
NH3 |
1.47 |
C6H5OH |
1.5 |
|
СО |
0.11 |
HCONH2 |
3.7 |
|
CO2 |
О |
CH3COCH3 |
2.9 |
|
СНзОН |
1.7 |
С2ЩО |
1.9 |
|
CH3CH2OH |
1.7 |
C6H5NO2 |
4.2 |
Между двумя молекулами воды преобладает притяжение за счет диполь-ди-польного взаимодействия, в то время как в димерах диоксида углерода или бензола электростатическое взаимодействие обусловлено квадруполь-квадрупольным вкладом. Для нейтральных молекул характерны дипольные взаимодействия, которые дают наиболее значимый вклад в энергию взаимодействия. Важно отметить, что взаимодействия разных моментов характеризуются разными зависимостями от расстояния. Например, ион-ионное взаимодействие обратно пропорционально расстоянию между ионами, диполь-дипольное взаимодействие пропорционально r-3, причем дополнительно оно обнаруживает сильную ориентационную зависимость. Квадруполь-квадрупольное взаимодействие спадает пропорционально r-5, что объясняет малый вклад таких взаимодействий при ненулевом дипольном моменте. Позже мы увидим, что расстояние, на котором проявляется взаимодействие, сильно влияет на макроскопические характеристики.
Индукционные взаимодействия
Отдельно от электростатических сил в рамках классических представлений можно рассматривать явление индукции. В случае точечного диполя и нейтральной молекулы, не обладающей постоянным электрическим моментом, электрическое поле Eext диполя индуцирует небольшое перераспределение заряда в форме противоположно направленного дипольного момента:
Энергия индуцированного диполя задается взаимодействием индуцированного дипольного момента с приложенным полем за вычетом энергии, необходимой для создания диполя в поле. В индукционном взаимодействии участвует много тел, т.е. индуцированный дипольный момент зависит от всех постоянных, а также от всех индуцированных дипольных моментов.
Рассмотрим две молекулы с постоянными дипольными моментами и поляризуемостями. Электрическое поле от молекулы 1, влияющее на молекулу 2, приблизительно равно
, а соответствующий индуцированный диполь молекулы 2 равен
