Нуклеиновые кислоты
Естественно было предположить, что фосфатные остатки «сшивают» нуклеозиды за счет двух своих гидроксилов, а один остается свободным. Оставалось выяснить, какие части нуклеозидных фрагментов участвуют в образовании связи с фосфатными группами.
Поскольку НК могут быть дезаминированы действием азотистой кислоты, очевидно, что аминогруппы пиримидиновых и пуриновых оснований не принимают участия в образовании межнуклеотидной связи. Помимо этого потенциометрическое титрование указывало, что и оксо(окси)-группы остатков гуанина и урацила, входящих в состав НК, свободны. На основании этих данных было сделано заключение о том, что межнуклеотидные связи образованы фосфатной группой и гидроксильными группами углеводных остатков (т. е. что они являются фосфодиэфирными), которые, следовательно, и являются ответственными за образование полимерной цепи (НК). Таким образом, то, что принято обычно называть межнуклеотидной связью, представляет собой по существу узел, включающий систему связей:
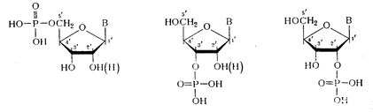
(где С — первичный или вторичный атомы углерода остатка углевода). При гидролизе ДНК и РНК в зависимости от условий реакции, образуются нуклеотиды с разным положением фосфатного остатка:
Если предположить, что в НК все межнуклеотидные связи идентичны, то, очевидно, что они могут включать помимо фосфатного остатка только З'-гидроксильную группу одного нуклеозидного звена и 5'-гидроксильную группу другого нуклеозидного звена (3'—У-связь). В случае же их неравноценности в полимерной цепи ДНК могли бы одновременно существовать три типа связей: 3'—5', 3'—3' и 5'—5'. Для РНК за счет участия 2/-гидpoкcилыIoй группы число типов связи должно было быть еще больше.
Установить истинную природу межнуклеотидных связей в нативных ДНК и РНК удалось в результате направленного расщепления биополимеров с помощью химического и ферментативного гидролиза и последующего выделения и идентификации полученных при этом фрагментов.
5.1. Межнуклеотидная связь в ДНК
Химический гидролиз ДНК как метод деградации полимера с целью установления природы межнуклеотидной связи оказался практически непригодным. ДНК не расщепляется при щелочных значениях рН, что хорошо согласуется с предположением о фосфодиэфирной природе межнуклеотидной связи (устойчивость диалкилфосфатов в щелочной среде обсуждалась в разделе). При обработке кислотой даже в мягких условиях ДНК расщепляется как по фосфодиэфирным, так и по N-гликозидным связям, образованным пуриновыми основаниями. Вследствие этого расщепление полимера протекает неоднозначно, но из продуктов кислотного гидролиза ДНК все же удалось выделить ди-фосфаты пиримидиновых дезоксинуклеозидов, которые оказались идентичными синтетическим 3',5'-дифосфатам дезоксицитидина и дезокситимидина:
Здесь же важно отметить, что наличие этих соединений в продуктах деградации ДНК указывает на участие обеих гидроксильных групп, по крайней мере пиримидиновых мономерных компонентов, в образовании межнуклеотидной связи.
Более специфическим оказалось ферментативное расщепление ДНК. При обработке препаратов ДНК фосфодиэстеразой (ФДЭ) змеиного яда полимер практически полностью гидролизуется до дезоксннуклеозид-5'-фосфатов, структура которых была Остановлена сравнением с соответствующими нуклеотидами, полученными встречным синтезом.
Эти данные свидетельствуют об участии 5'-гидроксильных групп всех четырех дезоксинуклеозидов, входящих в состав ДНК, в образовании межнуклеотидной связи. Аналогично, но до 3'-фосфатов дезоксинуклеозидов расщепляется ДНК в присутствии ФДЭ, выделенной из Микрококков или из селезенки.
Из данных гидролиза ДНК фосфодиэстеразами различной специфичности становится очевидным, что связь нуклеозидных остатков в ДНК осуществляется фосфатной группой, которая одновременно этерифицирует гидроксильную группу у вторичного атома углерода (положение 3') одного нуклеозидного звена и гидроксильную группу у первичного атома углерода (положение 5') - другого нуклеотидного звена.
Таким образом, было убедительно доказано, что в ДНК межнуклеотидная связь осуществляется за счет фосфатной группы, а также 3'- и 5'-гидроксильных групп нуклеозидных остатков [(а) и (б) — направления расщепления полинуклеотидной цепи ДНК фосфодиэстеразами соответственно змеиного яда и селезенки или микрококков]:
Предположение о возможности иного строения полимера с регулярно перемежающимися связями нуклеозидных остатков по типу 3'—3' и 5'—5' было отвергнуто, так как оно не удовлетворяло всем экспериментальным данным. Так, полимер такого типа не должен был бы полностью гидролизоваться (до мономеров) в присутствии ФДЭ змеиного яда, избирательно расщепляющей только алкиловые эфиры нуклеозид-5' –фосфатов. То же можно сказать о ФДЭ селезенки, селективно гидролизирующей алкиловые эфиры нуклеозид-3'-фосфатов.
5.2. Межнуклеотидная связь в РНК
Более сложным оказался вопрос о природе межнуклеотидной связи в РНК. Уже на первых этапах изучения строения РНК был установлен факт чрезвычайной неустойчивости се при щелочном гидролизе. Основными продуктами щелочного гидролиза РНК являются рибонуклсозид-2'- и рибонуклеозид-З'-фосфаты, образующиеся практически в равных количествах.
Рибонуклеозид-5'-фосфаты при этом не образуются. Эти данные не укладывались в представления о фосфодиэфирной природе межнуклеотидной связи в РНК и требовали всестороннего изучения. Очень важную роль в таком исследовании, которое выполнили в начале 50-х гг. Тодд с сотрудниками, сыграли синтетические алкиловые эфиры рибонуклеотидов, которые были получены специально, чтобы промоделировать тот или иной тип фосфодиэфирной связи.
Полученные школой Тодда данные о механизмах превращения алкиловых эфиров рибонуклеотидов в щелочной среде позволили предположить, что в РНК, так же как и в ДНК, межнуклеотидная связь осуществляется фосфатной группой и 3'- и 5'-гидроксильными группами углеводных остатков. Подобная связь в РНК должна очень легко расщепляться в щелочной среде, так как соседняя 2'-гидроксильная группа должна катализировать этот процесс при рН>10, когда начинается ионизация гидроксильных групп рибозы. Очень важно подчеркнуть, что промежуточными соединениями при щелочном расщеплении должны быть все четыре рибонуклеозид-2',З'-циклофосфата, а конечными — образующиеся при их гидролизе рибонуклеозид-3'-фосфаты и рибонуклеозид-2'-фосфаты (четыре пары изомеров).
Данные щелочного гидролиза ограничили количество возможных для РНК типов межнуклеотидных связей, но не прояснили вопроса о том, как построен этот полимер.
