О растворимости полиарилатов на основе фенолфталеина и дикарбоновых кислот
Следующей задачей нашего исследования было выяснение влияния изменения строения элементарного звена полимера на конформации макромолекул в растворе. Вначале методом машинного эксперимента на ЭВМ проведено моделирование макромолекулярного клубка методом Монте-Карло по программе, описанной в работе [11]. Структурные единицы полиарилатов моделированы на основании литературных данных о строении простейших молекул, близких по составу и строению к мономерным звеньям [12]. В табл. 2 приведены длины виртуальных связей углы между ними и указана возможность свободного вращения вокруг виртуальных связей, 8-угол дополнительный к углу между виртуальными связями. Вращение вокруг связи С—О запрещено, потому что эта связь считается полу торной, так как ее длина меньше суммы ковалентных радиусов углерода и кислорода.
Полученные в результате машинного эксперимента конформационные параметры приведены в табл. 3.
Анализ этих данных позволяет сделать следующие выводы относительно влияния химического строения звена на конформационные параметры при свободном вращении: увеличение угла между виртуальными связями, а также возрастание длины виртуальной связи приводит к увеличению равновесной жесткости цепи, напротив замена одной виртуальной связи h на две (в полимере III) уменьшает жесткость.
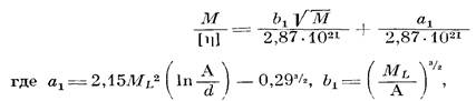
Ранее нами было показано [7], что моделью для описания поведения макромолекул полимера I в ТГФ может служить гауссов клубок, образованный цепями конечной длины, и найдено экспериментальное значение сегмента Куна, равное 30 А. При выборе модели для описания поведения макромолекул полимера II в ТГФ мы руководствовались теми же соображениями, что и в работе [7], поскольку так же, как и в работе [7]. параметр а в уравнении Марка — Куна — Хаувинка в 8-условпях не равнялся 0,5 (а=0,61) и заметно влияние растворителя па гидродинамические параметры (например, на [л]). Мы также воспользовались моделью клубка, образованного цепями конечной длины. Была построена зависимость М/[п] от √М и проведен расчет по уравнению [13]
Так как для полиарилата III в Э-условиях значение а=0,5, в данном случае нами была использована модель гауссова непроницаемого клубка и значения А рассчитаны по уравнению [13]
Результаты, приведенные в табл. 3, полностью подтвердили выводы, сделанные на основе данных машинного эксперимента. А именно введение в кислотную компоненту элементарного звена макромолекулы дополнительной фенильной группы привело к некоторому увеличению значения сегмента Куна с 30 А для полимера I до 40 А для полимера II, что свидетельствует о нарастании равновесной жесткости цепи. Введение дополнительной фталидной группировки (полимер III) понизило жесткость цепи и уменьшило значение сегмента Куна до 23 А. Кроме того, степени заторможенности о=УЛэД4т этих полимеров близки по значению и невелики, т. е. в растворе осуществляется большой набор возможных конформаций.
Таким образом, изменение строения кислотной компоненты элементарного звена в незначительной степени сказалось на равновесной жесткости макромолекулярной цепи; более заметно влияние этого фактора на термодинамический процесс растворения, и, следовательно, на структуру самого раствора.
ЛИТЕРАТУРА
1.Тагер А.А. // Высокомолек. соед. А. 1984. Т. 26. № 4. С. 659.
2.Goell К.В., Berry G.С. // J. Polymer Sci. Phys. Ed. 1977. V. 15. № 3. P. 555.
3.Тагер А.А., Древалъ В.E Курбаналиев M., Луцкий М. С. Берковец Н. Б., Грановская И.М., Чарикова Т.А. // Высокомолек. соед. А. 1968. Т. 10. № 9. С. 2041.
4.Курбаналиев М., Тагер А.А., Древалъ В.Е. // Механика полимеров. 1968. № 2. С. 35.
5.Коршак В.В., Виноградова С.В., Салазкин С.Н. // Высокомолек. соед. 1962. Т. 4. № 3. С. 339.
6.Вайсбергер А., Проскауэр Э., Риддик Дж., Тупс Э. Органические растворители. М., 1958.
7.Коршак В.В., Павлова С.-С.А Дубровина Л.В., Кобак Н.Ю., Гладкова Е.А.Ц Высокомолек. соед. А. 1980. Т. 12. № 7. С. 1458.
8.Сердюк И. Н., Эскин В. Е. // Вестн. ЛГУ. 1970. Вып. 2. № 10. С. 57.
9.Flory P. Principles of Polymer Chemistry. N. Y., 1953. P. 532.
10.Готман В. Химия координационных соединений в неводных средах. М., 1971. С. 165.
11.Pavlova S.S. A., Timofeeva G.I., Pancratova L.//J. Polvmer Sci. Polymer Phys. Ed. 1980. V. 18. № 1. P. 1.
12.Флори П. Статистическая механика цепных молекул. М., 1971.
13.Рафиков С.Р., Будтов В.П., Монаков Ю.Б. Введение в физикохимию растворов полимеров. М., 1978.
