Образование сетки при радиационной трехмерной сополимеризации А и В-дибутил-бис-малеинаттриэтиленгликоля со стиролом
Образование сетки при трехмерной гомо- или сополимеризации бифункциональных мономеров в отличие от сетки физических узлов, получающейся при полимеризации в массе монофункциональных мономеров, проходит, как правило, через первичную стадию формирования заготовок или зародышей [1] в виде частиц микрогеля. Необходимые условия для образования растворимого продукта (р*-полимера) создавались при полимеризации в присутствии передатчиков цепи [2], в окислительной полимеризации [3], при низкотемпературной радикальной сополимеризации [4] олигоэфирметакрилатов.
Одновременное появление растворимого сополимера и макрогеля мы наблюдали при сравнительно малых степенях конверсии в реакции сополимеризации в массе олигоэфирметакрилата ТГМ-3 со стиролом [5].
В настоящей работе изучен процесс сополимеризации, со-дибутил-бис-малеинаттриэтиленгликоля (дималеинат) со стиролом, инициированный f-излучением 60Со. Известно, что по радикальному механизму эфиры малеиновой или фумаровой кислот не гомополимеризуются [6], но они способны к сополимеризации, например, с винильными мономерами.
Дималеинат был синтезирован в две стадии: на первой стадии по известной методике [7] получали монобутилмалеинат. Эквимольную смесь малеинового ангидрида и н-бутилового спирта нагревали, перемешивая 90 мин при 80°. Выделенный в итоге монобутилмалеинат имел показатель преломления га20 1,4560 (теоретическое значение 1,4570), кислотное число 367 мг КОН/г (теоретическое значение 327 мг КОН/г). На второй стадии проводили реакцию конденсации монобутилмалеината с триэтилен-гликолем. 0,9 моля (155 г) монобутилмалеината, 0,42 моля (64 г) триэтиленгликоля, 4 г толуолсулъфокислоты, 0,4 г гидрохинона и 200 мл толуола нагревали, перемешивая в колбе с насадкой Дина — Старка до прекращения выделения воды. После окончания реакции полученный раствор олигомера в толуоле промывали содово-солевыми растворами до нейтральной реакции, сушили над MgSО4 и отгоняли толуол. Итоговый продукт реакции имел следующие характеристики: эфирное число 479 мг КОН/г (теоретическое значение 491 мг КОН/г), кислотное число 13,4 мг КОН/г и гидроксильное число ММ дималеината, рассчитанная по ИК-спектрам (методика будет подробнее изложена далее), составляла 460 (по интенсивности полосы 1730 см, соответствующей карбонилу) и 508 (по интенсивности полосы 1645 см-1, соответствующей валентным колебаниям малеинатной группы). Независимо измеренная методом эбуллиоскопии ММ оказалась равной 496±10. Теоретическая ММ олигомера составляла 458, так что синтезированное соединение можно считать (с хорошей точностью) индивидуальным веществом — дибутиловым эфиром дималеината три-этиленгликоля с химической формулой
Сополимеризацию проводили в вакуумированных термостатируемых ампулах при 30°. Весовое содержание стирола в исходной смеси жо=0,30 (или 0,654 молей). Интенсивность γ-излучения 650 рад/с. Содержимое ампул, облученных за контролируемое время определенной дозой, помещали в растворитель (обычно метилэтилкетон (МЭК)), отфильтровывали нерастворимый гель, а из фильтрата осаждали метанолом растворимый сополимер. Осадок экстрагировали в аппарате Сокслета. Последующим взвешиванием высушенных образцов определяли раздельно конверсию композиции в растворимый сополимер Wv и макрогель.
На первом этапе исследования представлялось необходимым установить химическое строение растворимого сополимера, определить его ММ и содержание микрогеля в сополимере, а также характер изменения этих параметров при увеличении степени конверсии.
С этой целью использовали ИК-спектроскопию и светорассеяние. ИК-спектры поглощения растворов изучаемых образцов в хлороформе (он не проявляется в области поглощения аналитических полос) записывали на двулучевом спектрофотометре «Specord Ш-75» (ГДР) в неразборных кюветах. Толщину поглощающего слоя варьировали от 0,0035 до 0,0120 см (материал окошек КВг). Спектрограммы обсчитывали методом базовой линии [8]. Предварительно определяли коэффициенты погашения выбранных аналитических полос. В качестве модельных соединений использовали дистирол, диоктиловый эфир малеиновой кислоты и диметиловый эфир малеиновой кислоты. Рабочий диапазон концентраций дистирола в хлороформе 0,5—0,6 моль/л, для эфиров малеиновой кислоты — 0,15—0,6 моль/л.
ИК-спектр дистирола идентичен спектру ПС. Для количественной оценки содержания стирольных фрагментов в сополимерах была выбрана полоса поглощения при v=1500 см-1 с коэффициентом погашения 113±10 л/моль-см. Из спектрограмм эфиров малеиновой кислоты получили значение коэффициентов погашения е=89,7± ±2,7 л/моль-см для v=1645 см-1 и 8=372,3±4,5 л/моль-см для v=1730 см-1. Ошибка в определении не превышает 8%.
Анализ спектрограмм растворимых сополимеров, образовавшихся на первых стадиях сополимеризации, показывает, что процесс идет с раскрытием двойных связей стирола (уменьшение интенсивности поглощения ниже предела разрешения в рабочем диапазоне концентраций на частоте 913 см-1, обусловленной деформационными колебаниями СН при двойной связи в стироле). Также существенно уменьшается поглощение на частоте 980 см-1, что связано с вхождением малеинатных групп в цепь сополимера, где, однако, остается значительное количество непрореагировавших двойных связей дималеината, оцененное по величине поглощения 1645 см-1.
Состав сополимера был определен еще одним независимым способом. Образец II гидролизовали по методике [9]. В продукте гидролиза кислотные группы алкилированием превратили в сложноэфирные. Методом УФ-спектроскопии [10] измерили состав полученного таким способом сополимера стирола с диметиловым эфиром янтарной кислоты. Содержание стирола в этом сополимере оказалось 71,1 вес.%, что очень близко к значению 71,6 вес.%, отвечающему составу исходного сополимера с мольным отношением стирола к дималеинату равным 3,5 (по ИК-спектру).
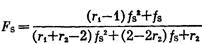
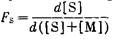
Зная мольный состав сополимера п при малых конверсиях и начальной концентрации сомономеров хм°, в предположении, что активность малеинат-ной компоненты г2=0, по формуле бинарной сополимеризации [11] можно оценить активность стирола в этой реакции: n=r1xM°+l; га=3,5; хм°=1,89; г,=1,35. Данные по инкременту показателя преломления растворимых сополимеров (таблица) также свидетельствуют о том, что их состав мало меняется при изменении конверсии. Чтобы объяснить этот факт, мы рассчитали по формулам бинарной сополимеризации, как изменяется состав сополимера в нашем случае с изменением конверсии. Упрощая расчетприняли, что г2=0 и г,=1. Мольная степень конверсии
где [S]0 и [Мо] — мольные концентрации стирола и дималеината в исходной смеси, a [S] Р и [М] р — в сополимере, связанная с мгновенным мольным составом сополимера
и с мольным содержанием. При этом
Если поставить в формулу для Fsзначения г,=1 и г2=0, то получим Fs=l/(2-/s). Тогда
