Общая модель волн материи. Формула Де-Бройля. Частица в ящике и частица на орбите
2. Частица на круговой орбите.
Простая количественная модель, позволяющая воспроизвести количественно уровни АО атома H и водородоподобных ионов (формулу Бора) также основана на волнах Де-Бройля.
В этой, также идеальной, задаче вычисления почти столь же несложные, как и в предыдущей.
Мы будем далее многократно иметь дело с её физическим содержанием.
Наша первая цель: пусть эклектическая, “лоскутная”, в какой-то мере теоретически дерзкая и живописная попытка количественно описать уровни реальных физических систем с их хорошо регистрируемыми в эксперименте проявлениями.
Строгость выводов – потом, а сейчас - поскорее к цели .
Задача 2.1.
Получить формулу квантования уровней частицы, обращающейся по круговой орбите.
Условия задачи:
Пусть частица движется по кругу в поле центральной кулоновской силы, создаваемой ядром с порядковым номером Z. Это атом водорода (Z=1) или водородоподобный ион (Z>1). Заряд ядра равен
, в его поле движется всего один электрон.
Центростремительная сила, удерживающая частицу на круговой орбите, имеет кулоновскую природу, т.е. обратно пропорциональна квадрату расстояния.
Отсюда следует “теорема вириала”, определяющая взаимосвязь между кинетической и потенциальной энергиями в поле центральной силы.
По этой теореме: Кинетическая энергия равна половине потенциальной, но с положительным знаком, а полная энергия равна половине потенциальной и также отрицательна (2.5).
ВНИМАНИЕ! Используется система СГСЕ.
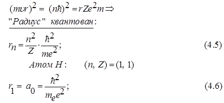
При стационарном движении частицы по кругу в поле центральной кулоновской силы, на замкнутой “круговой орбите” укладывается целое число волн материи
2p r = nl, "nÎN{1,2,3, . }. (4.3)
Использование длины волны де Бройля приводит к выводу о том, что квантованной оказывается величина L, похожая на модуль момента импульса:
L =½mu r ½ = n(h/2p) = nħ, "nÎN. (4.4)
Сочетание уравнений (2.3) и (2.6) показывает, что возможные значения радиуса классической "орбиты" дискретны – квантованы (2.7).
Задача 2.2. Рассчитайте численно боровский радиус.
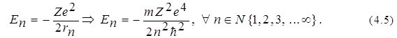
По теореме вириала соответственно квантованы значения полной энергии (2.9). Результирующее выражение для дискретных энергетических уровней называется формулой Бора.
Для разносторонних расчётов свойств системы, состоящей из двух взаимно обращающихся частиц с конечными массами, следует использовать общую приведённую массу.
Приведённая масса m системы, состоящей из электрона и протона, учитывает их обращение вокруг общего центра масс и мало отличается от массы электрона. Она равна
m= meMp /(me+Mp) =1840/1841
Введя приближение me<< Mp, можно принять m = me.
Формула Бора строго вытекает из решения уравнения Шрёдингера для атома H. Квантово-механический вывод логически строен, но это достигается за счёт весьма существенного усложнения математического аппарата.
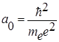
Величина a0 = 0.529 Ao называется боровским радиусом. В полуклассической квантовой теории он считается радиусом первой круговой орбиты, на которой электрон движется в основном квантовом состоянии, но эта примитивная картина требует коррекции. Её содержание будет раскрыто лишь в квантовой механике.
На самом деле боровский радиус это расстояние наиболее вероятного удаления электрона от ядра на низшем энергетическом уровне - в основном состоянии атома H.
Задача 4.3. Вычислить ребро кубического ящика, в котором энергия первого электронного возбуждения совпадает с энергией первого перехода в атоме водорода. Сравните размеры атома и “ящика”.
ПРИМЕЧАНИЕ: Решение можно проводить в числах или в виде формул.
Теория к задаче 4.3.
Расстояние между квантованными уровнями энергии частицы в “ящике” зависит от массы частицы и размеров ящика, и квантование проявляется только для микрочастиц в пространстве, соответствующем атомным размерам.
Уровни трёхмерного кубического “ящика” легко получаются суммированием трёх одномерных уровней с учётом движений вдоль трёх направлений.
Возникает три независимых квантовых числа по числу механических степеней свободы.
4.2.1. Движение в ограниченном кубическом объёме.
Здесь L-ребро куба; m= масса электрона; e= заряд электрона.
Суммируя одномерные уровни, получаем
В кубическом ящике все рёбра одинаковы, и его энергетическая постоянная равна Bt=h2/8mL2, и уровни выражаются через неё в виде
Вычисления.
Каждое состояние (в квантовой механике – каждая волновая функция) характеризуется тройкой независимых квантовых чисел (nx, ny, nz).
Основной уровень характеризуется единственным набором возможных квантовых чисел (nx, ny, nz) = (1,1,1).
Меньше 1 квантовое поступательное число не может быть.
Первый возбуждённый уровень характеризуется уже тремя наборами квантовых чисел (nx, ny, nz) =(1,1,2); (1, 2, 1); (2,1,1).
Каждый набор отвечает одному состоянию. Все три принадлежат к одному и тому же ТРИЖДЫ ВЫРОЖДЕННОМУ уровню. Нас интересует квантовый переход [(1,1,1) Û (1,1,2); (1, 2, 1); (2,1,1)]
или в терминах дискретных квантованных уровней E111Û E112.
Примечание:
У первого уровня статистический вес (кратность вырождения) g=1,
У второго уровня статистический вес (кратность вырождения) g=3,
Статистические веса (вырожденности уровней) на энергии не сказываются.
Таким образом разность сумм квадратов квантовых чисел будет равна
[(nx) 2 + (ny) 2+ (nz) 2] возб - [(nx) 2 + (ny) 2+ (nz) 2] основн= (1+1+4) - (1+1+1) =3
Получаем формулу для энергии первого перехода (первого возбуждения) в ящике
. (4.11)
Энергетические уровни электрона в атоме водорода равны:
(4.12)
Здесь введена энергетическая постоянная для атома H:
(4.13)
Первый переход отвечает возбуждению (1®2) т.е. с уровня n=1 на уровень n=2.
Соответственно
. (4.14)
Энергии возбуждения в ящике и в атоме равны по условию задачи.
Поэтому
. (4.15)
Вспоминаем, что боровский радиус
и преобразуем предыдущий результат
. (4.16)
Откуда следует решение в аналитическом виде
